论文标题:More Disclosure, Fewer Outside Opportunities?Accelerated Patent Disclosure and Market for Managerial Human Capital
中文标题:更多披露,更少外部机会?加速专利披露与管理型人力资本市场
原文来源:an Wu; More Disclosure, Fewer Outside Opportunities? Accelerated Patent Disclosure and Market for Managerial Human Capital. The Accounting Review 1 September 2025; 100 (5): 405–438.
供稿:刘增娣
封面图片来源:Pexels
More Disclosure, Fewer Outside Opportunities?
Accelerated Patent Disclosure and Market for Managerial
Human Capital
更多披露,更少外部机会?加速专利披露与管理型人力资本市场
原文来源:Wu, F. More Disclosure, Fewer Outside Opportunities? Accelerated Patent Disclosure and Market for Managerial Human Capital. The Accounting Review, 2025, 100 (5): 405-438. https://doi.org/10.2308/TAR-2024-0582
编者按:在全球创新驱动发展的浪潮下,企业专利信息披露不仅关乎市场透明度,更深刻影响着管理型人力资本市场的动态平衡。文章以2000年《美国发明者保护法》的实施为外生事件,使用双重差分研究设计,系统剖析了企业专利披露加速对董事和高级管理人员外部就业机会的影响机制。研究发现,《美国发明者保护法》强制要求的专利提前披露,显著降低了信息溢出企业董事和高管的外部就业机会,且这一效应在披露信息战略价值高、董事和高管信息共享障碍少的情况下下更为突出。此外,董事和高管在技术创新信息传递中的核心作用被公开披露所替代。文章不仅为披露监管的劳动力市场效应提供了全新证据,更为企业人才战略优化、监管政策制定提供了重要参考。
1. 研究背景与研究意义
1.1 研究背景
在知识经济时代,技术创新已成为企业构建核心竞争力的关键驱动力,而以董事和高级管理人员为核心的管理型人力资本则是企业创新战略落地的核心载体。DeCarolis和Deeds(1999)在研究生物技术行业时发现,技术专长对企业创新产出的影响远超传统生产要素,而Kaplan(2008)进一步指出,高层管理者通过调配组织资源、设定创新优先级、推动战略执行,对企业创新轨迹具有决定性影响。在此背景下,管理型人力资本的市场价值不仅取决于其管理能力,更与其掌握的创新相关私人信息紧密挂钩,其他企业往往通过招聘董事和高级管理人员获取稀缺的技术细节、战略方向等隐性信息,形成了基于“信息依赖”的管理型劳动力市场供需关系。
企业披露行为作为调节信息不对称的核心机制,对管理型人力资本的市场价值具有双重影响。一方面,Roychowdhury、Shroff和Verdi(2019)提出“信息溢出效应”,即企业公开披露的专利等创新信息会降低其他企业对董事和高管私人信息的需求,进而削弱其就业竞争力;另一方面,Bereskin、Byun和Oh(2023)指出披露也可能产生“声誉增强效应”,即企业通过披露突破性技术,向市场传递其技术领先地位,间接提升董事和高管的职业声誉,为其带来更多外部机会。这两种相反效应的共存,使得专利披露对董事与高管外部就业机会的净影响成为一个亟待实证检验的问题。
《美国发明者保护法》(AIPA)为解决这一问题提供了理想的自然实验场景。该法是研究专利披露对管理型劳动力市场影响的核心制度背景,其核心变革在于专利披露规则的重大调整。该法案规定,2000年11月29日后提交的所有专利申请,无论最终是否获得授权,都需在授权前向公众披露,且最长披露滞后时间限制为自专利 “优先权日” 起18个月。而在法案实施前,美国专利申请仅在获得授权时才会公开,2000年提交专利从申请到授权的中位时间约为32.5个月,这意味着专利披露延迟大幅缩短。
专利披露文件包含丰富信息,不仅有专利技术的全面文本与图形内容,还涵盖发明的工业适用性、技术问题解决方案及潜在应用场景,可通过美国专利商标局网站便捷获取。这种及时且全面的披露,使公众尤其是竞争对手能获取企业创新投资与技术进展信息,引发披露企业的知识溢出。从实际影响看,该法规既提升了分析师预测准确性,帮助资本提供者对有专利活动的企业进行估值,更关键的是让竞争对手及时掌握披露企业的创新战略,包括创新轨迹变化与技术组合内资源配置,进而调整自身创新投资决策。
实践中,苹果 “用于触敏输入设备的手势操作” 专利在申请18个月后公开,其技术细节推动后续产品创新;亚马逊相关专利披露则提前暴露了其商业战略,这些案例均证明《美国发明者保护法》下的专利披露对企业技术与战略信息传递的关键作用。
1.2 研究意义
1.2.1 理论贡献
首先,文章拓展了披露监管经济后果的研究边界。传统披露文献多关注其对资本市场或产品市场的影响(Leuz和Wysocki,2016),而对劳动力市场,尤其是管理型劳动力市场的关注严重不足。Ali、Li和Zhang(2019)虽发现管理者外部就业机会受信息披露影响,但未明确具体机制。文章首次提出“公开信息挤出私人信息价值”的机制,证明专利披露通过替代董事和高管的信息传递角色,降低了其外部就业机会,为披露监管的劳动力市场效应提供了全新的因果证据,填补了“披露-人力资本价值”研究链条的关键环节。
其次,文章深化了企业间信息传递渠道的互动研究。以往研究多将公开披露与私人信息传递视为独立渠道,或仅在合谋情境下探讨其替代关系。文章则在竞争性创新环境中,证实了公开披露对私人信息传递的挤出效应,并进一步发现这一效应受信息战略价值、制度环境的调节,丰富了信息传递渠道互动关系的情境化研究。
最后,文章明确了管理型人力资本市场的核心动机。现有研究对企业招聘董事和高级管理人员的动机存在“监督观”与“资源观”的争论,Adams和Ferreira(2007)认为董事会的核心职能是监督管理层,而Dass等(2014)则强调董事会通过提供行业资源支持企业决策。文章通过《美国发明者保护法》的自然实验,发现当公开披露满足了企业对创新信息的需求后,董事和高管的外部就业机会显著减少,直接证明“信息依赖”是企业招聘董事和高管的核心动机之一,且通过其传递的知识以显性信息为主,而非隐性的管理经验,为化解“动机争论”提供了关键证据。
1.2.2 实践启示
对企业而言,有利于优化管理型人力资本战略。一方面,企业需重新评估董事和高管的价值构成。在专利披露日益提前的背景下,应减少对董事和高管“信息传递者”角色的依赖,转而重视其“创新管理者”角色,通过培训、激励等方式强化其隐性知识积累;另一方面,对信息溢出风险高的企业,可通过完善内部信息管理体系、签订更严格的竞业禁止协议,降低董事和高管流失带来的信息泄露风险,同时为董事和高管提供更多内部晋升机会,缓解外部就业机会减少的负面影响。
对监管机构而言,加强平衡披露透明度与人力资本稳定。《美国发明者保护法》的实施虽提升了专利信息透明度,但也对管理型劳动力市场造成了冲击。监管机构在制定类似披露政策时,需考虑一系列因素,一是差异化监管,对技术新颖性高、信息溢出影响大的行业,可适当放宽披露时限或允许部分核心信息延迟披露,避免过度披露;二是配套制度建设,加强竞业禁止协议的执行力度,减少董事和高管在未披露阶段的信息泄露,同时建立管理型人力资本补偿机制,缓解披露政策对其职业生涯的冲击。
对董事和高级管理人员而言,启示其重塑职业竞争力。董事和高管需主动适应披露环境变化,从“信息持有者“向“价值创造者”转型。一方面,通过参与研发项目、积累技术商业化经验,提升自身隐性知识储备;另一方面,加强行业内非信息类网络关系,拓展职业价值维度,降低对“信息传递”角色的依赖。
2. 理论分析与假设提出
2.1 董事和高级管理人员网络与创新信息传递
现有研究已充分证实,董事和高级管理人员网络是组织间信息与知识交流的重要渠道(Davis和Greve,1997)。董事会成员因在企业战略投资监督与咨询中的关键角色(Adams和Ferreira,2007),有动机利用自身知识支持企业决策,尤其在创新驱动场景中。
从知识传递类型看,董事和高级管理人员网络传递的知识可分为显性知识与隐性知识。显性知识易于编纂,能通过书面、数字等正式形式共享(Nonaka和Takeuchi,1995;Liberti和Petersen,2019),在创新场景中常体现为企业研发投资水平、关联组织新兴技术与投资组合等信息,是董事和高级管理人员咨询角色的核心关注内容(Liu、Pinsonneault、Qu和Dong,2024)。隐性知识则具有情境依赖性,嵌入社会互动(Bol等,2018;He等,2022),需通过经验积累获得,难以通过正式渠道传递,在创新领域表现为人才招聘培养、发明商业化转化、技术与业务协同识别等技能,对创新推动与发明商业化至关重要。
董事和高级管理人员网络中,显性知识与隐性知识的传递相辅相成。隐性知识能将显性知识转化为适配特定情境的可行决策方案。同时,董事会关联还能促进企业创新活动,不仅增加研发支出与专利数量(Baum、Lööf、Stephan和Viklund-Ros,2022;Chang和Wu,2021;Faleye、Kovacs和Venkateswaran,2014;Helmers、Patnam和Rau,2017),还能推动企业探索新创新领域、推出新产品及进行针对性技术投资(Cheng、Rai、Tian和Xu,2021;Liu等,2024)。
然而现有文献仍存在不足。一方面,关于董事和高级管理人员网络传递的显性知识在决策中的相对价值,以及信息依赖是否为企业招聘董事和高级管理人员的主要动机,尚未有明确结论;另一方面,现有研究多将董事和高级管理人员关联视为企业间对称关系,忽略了信息流动的方向性,导致对企业在人才保留决策中面临的经济权衡不对称性探索不足,这也为文章研究提供了空间。
2.2 假设提出
企业战略投资的全面、及时披露,为竞争对手提供了获取新发明信息的经济高效渠道。当加强披露与从关联董事和高级管理人员处学习均能降低信息不确定性时,企业对董事和高级管理人员信息传递功能的需求可能发生变化(Cheng等,2021),进而影响董事和高级管理人员外部就业机会,但这种影响存在双向可能性。
从负面效应角度,及时专利披露可能替代董事和高级管理人员传统信息传递角色,导致其外部就业机会减少。一方面,专利披露能提供新兴技术、企业创新重点及技术组合分布等信息(Griliches、Pakes和Hall,1986),与董事和高级管理人员网络传递的信息类型高度重合,使竞争对手无需通过招聘董事和高级管理人员获取此类信息;另一方面,专利披露符合严格审查标准,包含详细的技术规格、商业前景等内容(Dyer、Glaeser、Lang和Sprecher,2024),能降低新技术评估与投资风险,替代董事和高级管理人员在战略资产投资评估中的信息支持作用。此外,董事和高级管理人员传递的非高度敏感信息,如技术应用大致理解、商业前景定性见解等,也可能被专利披露中的信息覆盖,进一步削弱其信息价值,最终导致依赖董事和高级管理人员获取信息的企业减少招聘,使董事和高级管理人员外部就业机会下降。
从正面效应角度,专利披露或能提升董事和高级管理人员外部就业机会。依据制度同构理论(DiMaggio和Powell,1983),企业通过披露了解新技术后可能产生模仿压力,而招聘关联董事和高级管理人员可为模仿行为提供合法性,向外界传递获取关键人力资本与运营知识的信号(Salancik和Pfeffer,1978;Shropshire,2010),增加董事和高级管理人员被聘用的可能性。同时,披露提升企业对新兴技术的认知后,可能产生对技术战略应用深入理解的需求,此时有相关技术企业经验的董事和高级管理人员能提供宝贵指导(Cheng等,2021),其咨询角色价值凸显,进而增加外部就业机会。此外,专利披露可能反映董事和高级管理人员在特定技术领域的专业能力,帮助招聘企业更好评估其适配性,为董事和高级管理人员创造更多就业机会。
由于专利披露对董事和高级管理人员外部就业机会的影响存在上述相互抵消的因素,难以事前判断其具体方向,因此文章提出零假设:
H0:《美国发明者保护法》实施后,专利加速披露对披露企业的董事和高级管理人员的外部就业机会没有影响。
3. 研究设计
3.1 数据来源与样本筛选
文章的核心数据来源于多个权威数据库。其中,企业专利申请、授权、引用信息来源于Kogan、Papanikolaou、Seru和Stoffman(2017)构建的专利数据库,该数据库涵盖了1981年至2000年美国专利商标局授予的所有专利,包含专利申请日、授权日、技术分类、引用关系等关键信息,用于计算专利披露滞后时间、技术新颖性等变量;董事和高级管理人员的姓名、职位、外部董事会席位变化、教育背景等信息来源于BoardEx数据库,并通过机构股东服务数据库补充,确保数据完整性;企业总资产、研发投入、杠杆率等财务指标来源于Compustat数据库,用于控制企业特征对董事和高管就业机会的影响;美国各州竞业禁止协议可执行性指数来源于Ertimur、Rawson、Rogers和Zechman(2018)的研究,产品市场流动性指数来源于Hoberg、Phillips和Prabhala(2014)构建的文本分析数据库。
在样本筛选过程中,首先合并上述多个数据集,剔除存在关键变量缺失值的观测样本。为构建《美国发明者保护法》实施前后的平衡面板数据,将样本时间范围限定为1996年至2005年,确保覆盖法案实施前5年(1996年至2000年)与实施后5年(2001年至2005年)。最终筛选得到15,918个企业年度观测值,涉及1,659家独特企业,为后续实证分析提供了坚实的样本基础。
3.2 核心变量定义
3.2.1 被解释变量:董事和高管外部就业机会变化(#Change_Seats)
借鉴Kim和Valentine(2021)的方法,定义为企业所有董事和高级管理人员在当年新增外部职位数量减去终止外部职位数量的净值。其中外部职位包括独立董事等外部董事会成员和非董事会高级管理职位;新增职位需满足董事和高管在新增职位前已在原企业工作至少1年,排除“空降”式外部招聘;终止职位需满足董事和高管在终止职位后仍在原企业任职,排除因退休、离职导致的职位流失,避免非信息因素干扰。
3.2.2 解释变量:《美国发明者保护法》下的信息溢出效应
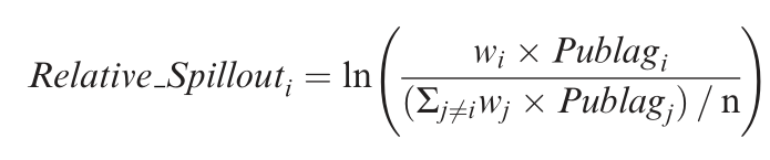
(1)相对信息溢出(Relative_Spillout):衡量《美国发明者保护法》实施后企业专利信息溢出的相对程度,计算公式方程(1)所示:

其中,i为焦点企业,j为同一北美行业分类系统(NAICS)四位码行业内的所有同行企业;Publag指企业在《美国发明者保护法》实施前20年内提交的所有专利的平均申请至授权滞后时间;wi为同期企业专利申请数量的十分位排名;分母为同行企业平均披露滞后时间,通过对数转换减少极端值影响。
(2)信息溢出组别(Spill−out、Spill−in):为了简化结果解释,文章构建了两个虚拟变量:溢出(Spill-out)和流入(Spill-in)。若企业的Relative_Spillouti处于前三个十分位,则溢出虚拟变量取值为1;若企业的Relative_Spillouti处于后三个十分位,则流入虚拟变量取值为1;将中间4个十分位的企业作为参照组。
(3)《美国发明者保护法》实施(AIPA):虚拟变量,2000年及以后取值为1,否则为0。该法于2000年11月生效,因此2000年视为实施当年,2001年后为完全实施阶段。
(4)核心交互项(Spill−out×AIPA、Spill−in×AIPA):分别衡量《美国发明者保护法》实施后,信息溢出程度高、低的企业,其董事和高管外部就业机会的变化。
3.2.3 调节变量
(1)产品市场流动性(Fluidity):采用Hoberg等(2014)的文本分析指标,通过计算企业10-K文件中业务描述术语与行业同行的差异程度,衡量产品市场竞争动态性。流动性越高,表明产品和技术更新越快,专利披露的信息价值越高,替代效应越强。
(2)技术新颖性(Novelty):定义为企业专利引用的其他专利平均年龄,年龄越低,技术新颖性越高。借鉴Zhang、Chen和Wang(2021)的方法,若企业引用专利平均年龄低于行业中位数,则Novelty=1,否则为0。
(3)知识来源(InternalKnowledge):衡量企业创新对内部知识的依赖程度,计算企业专利自引比例,即引用自身过往专利的数量/总引用数量,比例高于行业中位数,则InternalKnowledge=1,否则为0。依赖外部知识的企业,其专利信息更具通用性,披露后替代效应更强。
(4)竞业禁止协议可执行性(Noncompete):采用Ertimur等(2018)的州级指数,若企业总部所在州的可执行性指数高于中位数,则Noncompete=1,否则为0。可执行性越低,董事和高级管理人员信息共享障碍越少,替代效应越强。
3.2.4 控制变量
基于现有文献,控制以下变量以排除无关因素干扰:在企业财务特征方面,控制现金持有量(Cash)、企业规模(Assets)、杠杆率(Leverage)、研发强度(R&D)、资产回报率(ROA)、账面市值比(BM);在董事会特征方面,控制女性董事比例(Female)、独立董事比例(Independent)、董事会规模(Boardsize)、CEO两职合一(Duality);在市场特征方面,机构持股比例(Inst.Holding)、分析师覆盖(Analysts)。所有连续控制变量均在1%和99%分位数进行缩尾处理,以减轻异常值影响。
其中一些控制变量可能与信息溢出指标(Relative_Spillouti)相关,并可能导致估计偏差。文章考察了专利披露滞后时间与企业层面变量之间的关系,无论是在横截面分析还是面板数据分析中,都发现企业层面的专利披露滞后时间与董事会特征之间没有显著关联。
为了进一步消除潜在偏差,文章还将《美国发明者保护法》与2000年测量的法案实施前控制变量进行交互,并将这些交互控制变量纳入所有分析中。这种严格的控制策略有效过滤了由基本面均值回归驱动的效应,确保所记录的结果完全归因于《美国发明者保护法》的影响。
3.3 研究模型
为检验《美国发明者保护法》实施对董事和高级管理人员外部就业机会的影响,采用
双重差分(DID)模型,基准回归方程如方程(2)所示:

其中:i、k、t分别表示企业、行业、年份;Firm FE表示企业固定效应,控制企业不随时间变化的异质性;Industry×Year FE表示行业-年份固定效应,控制行业层面的时间趋势εi,t为误差项,标准误按企业层面聚类,以应对组内自相关问题。
通过比较《美国发明者保护法》实施前后(AIPAt)、信息溢出程度高(Spill−outi)与低(Spill−ini)企业的董事与高管外部就业机会变化,识别专利披露加速的净效应。若β1显著为负,表明《美国发明者保护法》实施后,信息溢出企业董事与高管的外部就业机会显著减少,支持“替代效应”;若β1不显著或为正,则支持“声誉效应”或零假设。
3.4 描述性统计
主要变量的描述性统计如表1面板A所示。

数据显示,董事和高级管理人员(DSMs)的外部董事会席位数量年均净变化为负值(-0.350),这表明样本企业中管理人员的外部就业机会总体呈下降趋势。为了更清晰地展示这一趋势,图1绘制了三类企业(溢出企业、流入企业和基准企业)外部席位变化的原始数量。在2000年《美国发明者保护法》实施前,三类企业的趋势都相对稳定,2000年后出现了分化,溢出企业的外部就业机会持续低于其他两类企业。这一初步证据表明,《美国发明者保护法》可能限制了溢出企业的董事和高级管理人员的外部就业机会。

3.5 相关性分析
表1面板B报告了《美国发明者保护法》实施前企业层面专利披露滞后时间与控制变量之间的两两相关性。相关系数相对较低,尤其是与董事会特征的相关性。这表明治理相关因素不太可能是《美国发明者保护法》实施前专利披露滞后时间的主要驱动因素。这些发现支持了研究设计不易受到结果变量与处理指标之间机械关联或反向因果关系影响的观点。
4. 实证结果
4.1 主要结果:《美国发明人保护法》与董事及高管外部席位变动
文章通过企业层面的分析,探究《美国发明人保护法》实施后企业董事与高管外部董事会席位数量的变化,主要围绕不同信息溢出程度企业所受影响的差异展开,表2呈现了方程(2)在不同控制变量设定下的估计结果。

在所有回归列中,Spill-out×AIPA的系数均显著为负,取值范围在-0.255至-0.374之间,这表明《美国发明人保护法》实施后,高信息溢出企业的董事与高管所拥有的外部董事会席位数量显著减少,与《美国发明者保护法》实施前的平均职位数量相比,高信息溢出企业的董事和高管每年的外部董事会职位总数减少了0.255至0.374个,年均降幅达到3.0%至4.4%,这一证据有力支持了“信息依赖观”,即更多的公开披露降低了其他企业聘用或留用披露企业董事和高管时所能获得的信息价值。
与之形成对比的是,Spill-in×AIPA的系数仅在未加入控制变量的回归列中边际显著为正,而在加入各类协变量后,系数不再显著,这意味着《美国发明者保护法》实施后,低信息溢出企业的董事与高管外部席位数量并未发生显著变化,也表明该法规并未通过“填补高信息溢出企业董事与高管离职所留下的空缺”这一方式,为低信息溢出企业的董事与高管间接创造更多外部就业机会。

图2进一步通过将方程(2)中虚拟变量AIPA替换为年度特定虚拟变量,揭示了《美国发明者保护法》对企业层面董事与高管外部就业机会的动态影响。结果显示,在《美国发明者保护法》实施之前,高信息溢出企业与低信息溢出企业的董事与高管外部董事会席位数量并无显著差异,这一情况验证了双重差分模型的平行趋势假设;而在2000年《美国发明者保护法》实施之后,高信息溢出企业的董事与高管外部席位数量出现急剧下降,低信息溢出企业的董事与高管外部席位数量则在整个样本期内均保持相对稳定,这表明《美国发明者保护法》实施后,政策效应迅速显现。
这种即时下降源于企业的前瞻性决策,虽然《美国发明者保护法》未立即公开专利信息,但企业预期高信息溢出企业董事和高管的信息价值会下降,且董事会任命具有长期性,因此企业会主动调整招聘与留任策略。
总体而言,《美国发明者保护法》的专利加速披露替代了董事和高管的外部信息传递角色,导致高信息溢出企业董事和高管外部就业市场恶化,低信息溢出企业董事和高管未受显著影响,也未填补空缺。此外,未列示的探索性分析发现,企业终止与高信息溢出企业董事和高管的关联后,倾向招聘具备“焦点行业专长+跨领域经验”或外部认可度较低的新董事和高管,体现对多种组织需求的权衡,而非仅关注创新信息需求。
4.2 稳健性检验
为验证研究结论的可靠性,文章开展了一系列稳健性检验,结果如表3所示。

首先,通过调整固定效应设定进行检验:列(1)回归仅纳入企业与年度固定效应,列(2)则采用企业的标准行业分类四位码与年度的交互项作为固定效应,两种设定下,Spill-out×AIPA的系数仍显著为负,说明研究结果不受固定效应维度或行业分类方式的影响。
其次,为排除同期其他事件如互联网泡沫破裂、9·11恐怖袭击的干扰文章对样本进行了筛选:一是剔除互联网相关行业及其上下游企业,二是剔除国防与航空领域相关企业,三是直接排除2001年的所有观测值以避免政策过渡期潜在影响,经上述处理后,核心解释变量Spill-out×AIPA的系数仍保持显著为负,且数值与基准回归接近,表明外部突发事件并非驱动董事与高管外部席位减少的原因。
再者,文章还从“披露时间相对加速程度”(RelLag)与“专利申请数量相对强度”(RelPatnum)两个维度,探索了分解处理效应的替代指标,分别检验二者与AIPA的交互效应。结果显示,仅RelLag×AIPA的系数显著为负,RelPatnum×AIPA的系数并不显著,这与《美国发明者保护法》以缩短披露滞后时间为核心目标的制度设计相符,说明是专利披露的及时性提升而非专利数量多少导致了董事与高管外部机会的减少。
最后,为规避企业层面披露滞后时间可能存在的个体差异问题,文章采用“技术领域层面平均披露滞后时间”(TechLag)作为替代处理变量,即以专利类别为单位计算《美国发明者保护法》实施前的平均申请至授权周期,回归结果显示TechLag×AIPA的系数仍显著为负,进一步证明即便排除企业个体层面的特殊因素,专利加速披露对董事与高管外部席位的负向影响依然存在。
综上,一系列稳健性检验结果均支持基准回归结论,即《美国发明者保护法》带来的专利加速披露确实导致高信息溢出企业董事与高管的外部就业机会减少,且这一结论不受模型设定、样本选择或变量度量方式的影响。
4.3 企业层面横截面分析
文章还探究了企业的创新特征与制度环境这两类因素,如何调节专利加速披露对董事与高管外部就业机会的影响,相关结果如表4所示。

首先关注产品市场流动性的调节作用,文章采用Hoberg等人(2014)提出的产品市场流动性指标,该指标通过对比企业与行业同行在10-K报告中业务描述术语的增减频率,衡量市场与技术的变化速度,将样本划分为产品市场流动性高于中位数的“高流动性组”与低于中位数的“低流动性组”。回归结果显示,Spill-out×AIPA的负向系数仅在高流动性组显著,低流动性组则不显著。这是因为在快速变化的高流动性市场中,专利披露所包含的技术与战略信息更具时效性价值,外部企业通过公开披露即可掌握高信息溢出企业的创新动态,对其董事与高管私人信息的依赖度大幅下降,进而导致董事与高管外部机会减少的效应更突出。
其次考察技术新颖性的调节效应,文章依据企业专利所引用专利的平均申请年限来衡量技术新颖性,将样本分为“高新颖性组”与“低新颖性组”。结果显示,仅高新颖性组中Spill-out×AIPA的系数显著为负,低新颖性组系数无统计显著性。这是因为新颖技术往往对应尚未充分竞争的领域,商业潜力更大,《美国发明者保护法》加速披露后,外部企业能快速获取这类技术的关键信息,无需再通过高信息溢出企业的董事与高管获取相关知识,因此对其信息需求下降更明显。
再者分析知识来源特异性的影响,文章以企业专利申请中的自引比例衡量知识来源,自引比例高意味着企业创新更依赖内部知识,自引比例低则更依赖外部知识,据此将样本分为“高自引组(内部知识依赖)”与“低自引组(外部知识依赖)”。回归结果表明,Spill-out×AIPA的负向效应仅在低自引组显著,高自引组系数不显著,且两组系数差异的p值为0.06。这是因为内部知识通常与企业特定的运营流程深度绑定,可推广性较弱,而外部知识的适用范围更广,《美国发明者保护法》披露后外部企业能直接获取这类知识,对高信息溢出企业董事与高管的依赖度自然下降更显著。
最后探讨制度因素中竞业禁止协议执行力的调节作用,文章采用Ertimur等人(2018)构建的州级竞业禁止协议执行力指数,指数越高,代表该州对员工跨企业信息传递的限制越强,根据该指数中位数将样本分为“高执行力组”与“低执行力组”。结果显示,Spill-out×AIPA的负向系数仅在低执行力组显著,高执行力组不显著。这是因为在竞业禁止协议执行力弱的州,董事与高管在《美国发明者保护法》实施前更易向外部企业传递原雇主的信息,其信息传导角色的价值更高;而《美国发明者保护法》实施后,公开披露替代了这种私人信息流动,导致董事与高管外部机会受冲击更明显;反观高执行力州,董事与高管本就受限于信息传递,披露政策带来的边际影响较小。
综上,企业层面横截面分析表明,专利披露对董事与高管外部就业机会的替代效应,在产品市场流动性高、技术新颖性高、知识来源更依赖外部、所在州竞业禁止协议执行力弱的企业中更为突出。
文章将研究视角从董事与高管拓展至企业全体技术员工,探究《美国发明者保护法》实施对不同层级技术员工流动性的影响,相关数据来源于Revelio Labs的就业历史记录,研究聚焦研发相关人员,并将员工按数据库定义的职级划分为资深员工与初级员工,通过计算总流动人数、初级员工流动人数、资深员工流动人数构建因变量,采用泊松回归模型估计影响,结果如表5所示。

从整体流动情况来看,《美国发明者保护法》实施后,高信息溢出企业的技术员工总流动人数(Overall_Leavers)虽有下降,但系数未达到传统统计显著性水平,说明整体流动性未受显著影响。进一步区分员工层级后发现,这种流动性变化存在明显差异:资深技术员工(Senior_Leavers)的流动性显著下降20.9%,而初级技术员工(Junior_Leavers)的流动性虽有下降,但系数无统计显著性,即《美国发明者保护法》对资深技术员工的外部就业机会约束更明显,对初级员工的影响则较小。
对于这种层级差异,存在两方面可能的解释:一方面,与初级员工相比,资深员工通常与原雇主保持更强的信息关联,其掌握的技术与战略信息更具价值,《美国发明者保护法》实施后,外部企业可通过公开专利披露获取相关信息,对资深员工的依赖度下降,导致其流动性受限;另一方面,专利披露可能降低外部企业招聘初级员工时的信息摩擦,外部企业可通过披露内容更清晰地评估初级员工的知识技能与岗位适配性,潜在的“挖角”行为可能抵消信息价值下降对初级员工流动性的负向影响,最终使得初级员工流动性未发生显著变化。
文章进一步从董事和高级管理人员个体层面展开分析,探究董事和高管自身特征如何调节专利加速披露对其外部就业机会的影响,核心构建了针对个体董事与高管的计量模型(方程3):

其中因变量为“董事和高级管理人员个体外部职位变动数”(#Change_Seats_D),即该董事和高管当年新增外部职位数量减去终止外部职位数量,同时纳入企业层面分析中使用的处理变量与控制变量,并加入董事与高管个体固定效应以剔除其自身不可观测特征对结果的干扰,样本限定为“前一年已在焦点企业任职的董事和高管”,以排除新入职董事和高管因尚未建立内部信息网络而产生的混杂影响,相关结果如表6所示。

回归结果显示,与企业层面结论一致,《美国发明者保护法》实施后,主要任职于高信息溢出企业的董事与高管,其外部就业机会显著减少:在控制董事与高管个体固定效应与其他变量后,Spill-out×AIPA的系数为-0.026,即这类董事与高管每年净减少0.026个外部职位;结合《美国发明者保护法》实施前样本中董事与高管个体平均外部席位数量计算,若覆盖《美国发明者保护法》实施后的5年观测期,董事与高管外部席位总降幅达19.1%,经济意义显著。将外部职位变动拆解为“新增席位”(#New_Seats_D)与“终止席位”(#Lost_Seats_D)后发现,外部机会减少是新增席位下降与终止席位增加共同作用的结果,Spill-out×AIPA的新增席位的系数为-0.011,对终止席位的系数为0.015,说明《美国发明者保护法》不仅降低了高信息溢出企业董事与高管获取新外部职位的竞争力,还削弱了其现有外部职位的稳定性。
此外,通过加入“DSM×Firm”双向固定效应进行稳健性检验,结果如列(3)所示,Spill-out×AIPA的系数仍显著为负,排除了董事和高管与企业匹配特征对结论的干扰,进一步验证了个体层面结果的可靠性。总体而言,董事和高管个体层面的分析与企业层面结论相互印证,表明《美国发明者保护法》强制推行的专利加速披露确实通过替代董事和高管的信息传递价值,降低了其对外部企业的吸引力,进而减少了外部就业机会。
文章在董事和高级管理人员个体层面基准分析的基础上,进一步探究董事与高级管理人员自身特征如何调节专利加速披露对其外部就业机会的影响,相关结果如表7所示。

首先考察教育水平的调节作用,依据董事和高管是否拥有研究生学历将样本划分为两组,结果显示,Spill-out×AIPA的负向系数仅在拥有研究生学历的董事与高管组显著,无研究生学历组系数不显著,且两组系数差异的p值为0.01。这是因为高学历董事和高管通常具备更强的认知能力,更擅长理解、整合与传递创新相关信息,在《美国发明者保护法》实施前,其作为企业间信息传导者的角色价值更高,而《美国发明者保护法》带来的公开披露恰好替代了这一价值,因此其外部就业机会受冲击更明显。
其次分析董事和高管在焦点企业中的职位类型差异,将样本分为“执行董事”与“非执行董事”两组。回归结果表明,Spill-out×AIPA的负向效应仅在非执行董事组显著,执行董事组系数不显著,两组系数差异的p值小于0.01。这是因为执行董事的价值更多体现在战略决策、行业资源整合与组织管理等隐性能力上,这类能力难以通过公开专利披露替代;而非执行董事的核心贡献更偏向于传递显性的技术与战略信息,《美国发明者保护法》实施后,外部企业可通过公开披露获取此类信息,对非执行董事的需求自然下降。
再者探究董事和高管在焦点企业任期的影响,按任期中位数将样本分为“短期任期组”与“长期任期组”。结果显示,两组中Spill-out×AIPA的系数均无统计显著性,且两组系数差异的p值为0.32。这可能是因为长期任期董事和高管群体存在异质性:部分长期任期董事和高管积累了深度的企业特定隐性知识,抗披露冲击能力强;另一部分则仅承担信息传递角色,易受披露替代影响,两种效应相互抵消,导致整体结果不显著。
最后考察焦点企业董事会规模的调节作用,按2000年董事会规模中位数将样本分为“小规模董事会组”与“大规模董事会组”。回归结果显示,Spill-out×AIPA的负向系数仅在小规模董事会组显著,大规模董事会组系数不显著,两组系数差异的p值为0.02。这是因为小规模董事会的沟通摩擦更少,董事和高管间信息传递效率更高,《美国发明者保护法》实施前,这类董事与高管能更有效地跨企业传递信息,信息价值更高;而《美国发明者保护法》实施后,公开披露对其信息传递角色的替代效应也更突出,进而导致外部就业机会下降更明显。
综上,董事和高级管理人员层面横截面分析表明,专利加速披露对董事和高级管理人员外部就业机会的负向影响,在拥有研究生学历、担任非执行董事、处于小规模董事会的董事和高管群体中更为显著,而执行董事与任期差异带来的调节效应不明显,这一结果进一步揭示了董事和高管所传递知识的性质与信息传递效率,是决定其受专利披露冲击程度的关键因素。
4.7 企业配对分析:《美国发明者保护法》与董事和高级管理人员关联
文章通过企业配对层面的分析,深入探究企业间信息流动方向对董事和高级管理人员关联的影响,进而更清晰地理解其他企业聘用焦点企业董事和高管的动机,以及董事和高管在企业间信息传递中的作用,相关结果如表8所示。
表 8 企业配对分析:《美国发明者保护法》与董事和高级管理人员关联

研究首先通过将企业与其标准行业分类两位码行业内的同行进行配对来构建样本,并构建计量模型(方程4):

其中因变量有:“董事和高级管理人员关联虚拟变量”(D_Connection),若两企业存在至少一名共同董事和高级管理人员则取1,否则取0。“董事和高级管理人员关联数量”(#Connection),核心解释变量为“被引用企业高信息溢出×《美国发明者保护法》”(Spill-out(cited)×AIPA)与“引用企业高信息溢出×《美国发明者保护法》”(Spill-out(citing)×AIPA),同时纳入被引用企业固定效应、引用企业固定效应及行业-年度固定效应,以剔除企业个体特征与行业时间趋势的干扰。
回归结果显示,信息溢出对董事和高级管理人员关联的影响具有明显的方向性:仅被引用企业即信息输出方的高信息溢出会显著导致企业间董事和高管关联减少,Spill-out(cited)×AIPA的系数在以D_Connection为因变量的OLS回归中为-0.009,经济意义上,这意味着当被引用企业为高信息溢出企业时,其与引用企业的董事和高管关联解散概率较平均水平增加35.4%;而引用企业即信息输入方的高信息溢出对董事和高管关联无显著影响,Spill-out(citing)×AIPA的系数无统计显著性。这一结果与信息流动方向一致,引用企业原本依赖被引用企业的董事与高管获取技术与战略信息,《美国发明者保护法》实施后,公开专利披露使引用企业能直接获取这些信息,无需再通过维持董事和高管关联实现信息传递,因此会主动减少与被引用企业的董事和高管关联;而被引用企业对引用企业的信息需求较低,其董事和高管关联不受引用企业信息溢出的影响。
此外,通过纳入企业对固定效应进行稳健性检验,并采用泊松回归估计董事和高级管理人员关联数量,结果如列(2)、列(3)、列(4)所示,均与基准结论一致,进一步验证了信息流动方向对董事和高管关联影响的稳健性。总体而言,企业对层面的分析表明,《美国发明者保护法》带来的专利加速披露对董事和高级管理人员关联的冲击,主要集中在“被引用企业-引用企业”配对中的被引用企业一侧,即信息输出方的公开披露会替代其董事和高管的跨企业信息传递角色,导致企业间董事和高管关联减少。
文章还通过分析企业对层面的专利引用行为,进一步验证董事和高管关联在企业间技术知识传递中的作用,以及《美国发明者保护法》实施后这种作用是否被专利加速披露所替代,相关结果如表9所示。
表 9 董事和高级管理人员关联与即时专利引用

研究聚焦“即时专利引用”(#QuickCite),将其定义为引用企业在某年度申请的专利中,对被引用企业过去3年内申请专利的引用次数,同时构建“对数化即时引用次数”(log(1+#QuickCite))与“即时引用虚拟变量”(D_QuickCite,若存在即时引用则取1)作为替代因变量,核心解释变量为“董事和高级管理人员关联虚拟变量”(D_Connection,两企业存在共同董事和高管则取1)及其与《美国发明者保护法》的交互项,计量模型(方程5)中纳入被引用企业-年度固定效应与引用企业-年度固定效应,以剔除企业年度层面不可观测因素的干扰,且未纳入企业对固定效应。

回归结果显示,《美国发明者保护法》实施前后,董事和高管关联对即时专利引用的影响存在显著差异:在《美国发明者保护法》实施前,D_Connection的系数显著为正,以“t+1年度即时引用次数”为因变量的泊松回归中,该系数为0.554,意味着存在董事和高管关联的企业配对,其即时专利引用次数较无关联企业对增加55.4%,表明董事和高管关联确实是企业间及时传递技术知识的重要渠道;而《美国发明者保护法》实施后,董事和高管关联的这一促进作用显著减弱,D_Connection×AIPA的系数为-0.407,即董事和高管关联对即时引用的提升效应下降40.7%,且这一减弱效应在t+2年度的即时引用中仍显著。此外,采用“对数化即时引用次数”“即时引用虚拟变量”或“董事和高级管理人员关联数量”作为变量的回归结果,均与上述结论一致,进一步验证了结果的稳健性。
这一发现直接证明,《美国发明者保护法》强制推行的专利加速披露,通过向市场公开早期技术信息,显著替代了董事和高级管理人员关联在最新技术知识传递中的角色,原本需要通过董事和高管关联获取被引用企业最新技术信息的引用企业,如今可通过公开专利披露直接获取,使得董事和高管关联在促进即时专利引用方面的价值大幅降低,也从侧面印证了《美国发明者保护法》通过削弱董事和高级管理人员的信息传递价值,减少其外部就业机会的核心机制。
5. 研究结论
文章研究强制性专利披露对管理层劳动力市场的影响,重点分析此类披露如何作用于企业董事与高管的外部就业机会。《美国发明人保护法》实施后,专利披露会公开企业重要战略与技术信息,削弱董事和高管向其他企业传递私人信息的价值。研究发现,此类披露使董事和高级管理人员的外部就业机会下降约15%,且在产品市场流动性高、发明新颖性可推广性强、竞业禁止协议执行力弱的企业中,这一效应更显著。
整体来看,专利披露涉及的底层技术战略价值越高、管理层劳动力市场摩擦程度越低,其对董事和高管信息价值的替代作用就越强。个体层面分析表明高学历的管理层,以及在焦点企业担任非执行董事的群体,受这种替代效应的影响更突出。此外,董事和高管能从企业内部活跃沟通中获取更高价值的信息。企业对层面分析中表明,被引用企业的信息溢出对管理层关联的影响,比引用企业的信息溢出更显著。同时,管理层关联原本能促进关联企业引用其近期创新成果,但《美国发明人保护法》实施后,这一促进作用大幅减弱。
总体而言,文章为披露法规如何通过减少市场对管理人员信息的外部需求,进而影响管理型劳动力市场边界提供了证据;补充了关于公共披露与私人信息之间替代效应的文献;为理解管理人员在企业创新管理中的人力资本价值提供了启示。
ABSTRACT:
This paper studies whether and how firms’ enhanced public disclosures of patent filings can spill over to the managerial labor market. Consistent with these disclosures crowding out the demand for directors and senior managers’ (DSMs) private information, I find that their external employment opportunities deteriorate when firms disclose patent information more timely. This effect is more pronounced when the strategic value of the disclosed information is higher and when DSMs face fewer barriers to sharing information. Additionally, the decline in their human capital value is reflected in a diminished role in transferring timely information about technological innovations. Collectively, these results shed light on how public disclosures can shape the managerial labor market by substituting private information flows between firms through DSM ties.