论文标题:Redeploying dirty assets: The impact of environmental
中文标题:重新部署污染资产:环境的影响
原文来源:Chen J. 2025. Redeploying dirty assets: The impact of environmental. Journal of Financial Economics, 170: 104070.
供稿:陈馨词
封面图片来源:Pexels
编者按:
本文考察了企业污染动机如何受到其剥离污染资产能力的影响。基于美国2002年《棕地法案》(Brownfields Act),该项改革使资产购买者免于承担历史污染的责任。本文利用双重差分法进行实证分析,结果表明该项改革显著降低了污染排放,减少了破产风险,并提升了企业价值。横截面检验表明,排放量的下降主要由财务状况较差、资产规模较小的企业驱动。上述发现揭示了净资产传导机制:通过限制事后责任,该项改革在事前提升了土地所有者的净资产,从而降低其从事过度排放等高风险行为的动机。
一、引言
企业正面临着日益加大的压力,要求其剥离污染性资产。为响应不断增长的气候行动诉求,许多大型企业已出售了数十亿美元的高排放资产。旨在提高污染资产流动性的政策或许能促进此类资产剥离,但其环境影响仍不明确。近期研究表明,这类政策可能并未达到预期效果,因为在污染资产被剥离后,排放通常会从卖方转移至买方(Duchin et al., 2024)。然而,要全面理解这些政策的环境影响,还必须考察其事前效应——即企业在预期更容易出售污染资产或以更高价格出售时,会如何调整自身的环境行为。因此,本文旨在系统研究提升污染资产流动性的环境含义,特别关注其事前效应。
识别改善流动性的环境效应面临两大挑战:首先,如何准确衡量污染资产的流动性;其次,如何控制这种流动性指标与潜在的、影响企业环境行为的不可观测特征之间的相关性。为解决这些挑战,本文利用 2002 年《棕地法案》(Brownfields Act)的颁布作为自然实验。该法案通过豁免购买者对前期污染的清理责任,显著促进了工业用地的交易,并对特定企业产生了不对称影响,从而使得双重差分研究设计成为可能。实证结果表明,在该法案颁布后,受影响的土地所有者减少了污染排放、破产风险下降,并提升了企业价值。文章将这些效应归因于法案增加了土地所有者的净资产,从而降低了其通过增加排放承担风险的动机。研究发现表明,尽管推动污染资产剥离的政策在事后可能无效,但在通过减少购买者责任发挥作用时,却能够在事前产生积极的环境效果。
文章的贡献如下:首先,文章证明了在减少购买者责任的背景下,提高高污染资产流动性的政策能够带来积极的社会结果。这类政策有效的原因在于提升了现有所有者的净资产,从而降低其污染动机。因此,文章是首篇系统探讨资产剥离政策事前效应的研究,在当前应对环境问题需求日益增强的背景下,理解这些事前效应能够帮助政策制定者更好地设计有效的剥离政策。其次,文章拓展了环境责任的相关研究。已有文献主要关注股东和债权人责任的影响(Akey and Appel, 2021;Bellon, 2024;Boomhower, 2019;Ohlrogge, 2024),而本文则聚焦于尚未得到充分研究的购买者责任,发现降低环境责任反而能够减少污染排放。最后,文章深化了对环境监管的理解。传统观点认为,放松环境监管虽能带来经济收益(如增加就业),但必然以牺牲环境为代价(Akey and Appel, 2021;Becker and Henderson, 2000;Greenstone et al., 2012;Walker, 2013)。然而,文章研究表明减少购买者责任不仅改善了土地流动性、提高了土地所有者的净资产,而且并未对环境行为造成负面影响。
二、制度背景
(一)环境清理的背景
在美国,环境清理主要由两部法规管辖:即 《综合环境反应、补偿与责任法》(CERCLA) 与 《资源保护与回收法》(RCRA)。CERCLA 于 1980 年颁布,旨在通过赋予环境保护署(EPA)广泛的追责权来推动受污染场地的修复。根据该法案,EPA 可以向多类责任主体(PRPs)追偿,这些主体包括过去和当前的土地所有者,以及参与危险物质运输或处置的相关方(Weissman and Sowinski Jr, 2015)。所有被 CERCLA 列入的污染场地都登记在“国家重点清单”(NPL)中,通常被称为 NPL 场地。RCRA 于 1976 年颁布,赋予 EPA 管理危险废物的权力。最初,该法案仅针对运营中设施的危险废物管理,清理条款有限。但在 1984 年修订后,RCRA 的“矫正措施”大幅扩展,覆盖所有危险废物排放,不论排放发生时间(Stoll, 1990)。因此,RCRA 的修正案使其清理规定更接近 CERCLA。例如,修订后的条款要求所有处理、储存和处置危险废物的设施对污染进行治理。
虽然 CERCLA 和 RCRA 都会对土地所有者施加清理责任,但两者存在重要差异。CERCLA 的适用范围更广,几乎涵盖任何受危险物质污染的场地,而 RCRA 的“矫正措施”主要集中在处理、储存、处置危险废物的设施(TSDFs)。但在 1984 年修订后,RCRA 的“矫正措施”大幅扩展,覆盖所有危险废物排放,不论排放发生时间(Stoll, 1990)。因此,评估清理责任是否属于TSDFs是一个关键的制度分界点。当CERCLA和RCRA重叠时,即当一个设施同时受到两种法规的约束时,EPA通常更倾向于使用RCRA。CERCLA的评估流程如图A1所示。环境清理责任往往数额巨大且难以预测,且清理责任通常具有连带责任的特征,即任何单一责任方都可能被要求承担全部修复成本。由于购买者在收购土地后自动继承该责任,因此其面临巨额且不确定的潜在成本(Witkin, 2004)。这种责任机制显著抑制了工业地产的交易流动性,导致大量潜在污染场地被弃置,即所谓“棕地”(Higgins, 2001; Bromm, 1998; Weissman and Sowinski Jr, 2015)。

图A1 CERCLA设施评估流程
(二)《中小企业责任减免与棕地复兴法案》
为应对棕地问题,美国国会于 2002 年通过了 《中小企业责任减免与棕地复兴法案》(《棕地法案》)。该法案主要对购买者责任作出了两方面重要修订。第一,该法案明确了“无辜土地所有者”(ILO)抗辩机制。按照这一抗辩条款,若购买者在购地前经过合理尽职调查,且无理由知晓土地存在污染,则可免于承担清理责任。《棕地法案》通过确立明确的环境评估标准,消除了尽职调查标准模糊的不确定性(Meltz, 2002)。第二,该法案新增了“善意前瞻性购买者”(BFPP)抗辩条款。与 ILO 不同,该条款即使在购买者知晓土地存在污染的情况下,也可使其免于承担历史污染责任(Meltz, 2002)。BFPP设计极大地降低了收购污染或潜在污染土地的环境风险,从而促进了交易。此外,《棕地法案》还规定了对小企业的责任减免,并提供资金支持,用于棕地评估和治理(Collins, 2002)。
(三)棕地法案暴露度衡量
在研究设计中,如何区分受影响与未受影响的企业至关重要。文章首先基于 RCRA 的适用范围构建处理组与对照组。由于棕地法案仅豁免 CERCLA 下的责任而未涉及 RCRA,因此仅受 CERCLA 约束的工厂(非TSDFs)受到的影响更大,可作为处理组;而同时受 CERCLA 与 RCRA 约束的工厂(TSDFs)仍面临 RCRA 清理责任,可作为对照组。据此,本文利用 EPA 的 RCRAinfo 数据库来识别 TSDFs,包括:RCRA 许可数据库(识别取得运营许可的 TSDF);危险废物处理数据库(识别处理危险废物的工厂);双年度危险废物报告(自 2001 年起,要求大规模危险废物产生企业申报处置数量)。在此基础上,本文将非 TSDFs 工厂划为处理组,TSDFs 工厂划为对照组。进一步地,将识别出的TSDFs与工厂数据集进行匹配,在公司层面,如果一家公司的大部分工厂在 2001 年属于处理组,则该公司被界定为处理公司。图1绘制了美国非TSDFs和TSDFs工厂的分布情况。通过地理分布分析可见,处理组与对照组在全美范围内分布相对均衡,避免了由于地区环境监管差异带来的系统性偏差。这为后续基于双重差分的因果推断奠定了制度基础。
需要注意的是,基于 TSDFs来划分处理组与对照组,可能存在一定的测量误差。例如,某些在 2001 年之前停止危险废物处理的工厂可能被错误地归入非 TSDFs,从而导致误分。文章通过交叉使用多项数据(许可、处理者信息以及 2001 年报告)来最大限度消除测量误差。此外,实证结果显示,非 TSDFs工厂在法案颁布前几乎没有经历RCRA 清理,进一步表明误分风险有限。

图1 非TSDFs工厂和TSDFs工厂的分布情况
(四)替代性处理强度衡量
为增强稳健性,本文还采用了三种替代性处理强度的衡量方法:第一,州级责任制度差异。除 CERCLA 由联邦政府统一实施外,美国各州还会对购买者施加不同程度的环境责任(Sigman, 2010)。与 RCRA 类似,这些州级责任即使在《棕地法案》实施后仍会制约土地交易。因此,在州级环境责任较弱(如未采用连带责任制)的地区,《棕地法案》的影响更为显著。本文据 2001 年环境法研究所的调查数据,依据各州是否采用连带责任制来衡量州级责任强度,图2显示了有连带责任和无连带责任州的分布情况。第二,行业层面的处理强度。如果一个行业中存在大量处理组工厂,则该行业整体受到的影响更大。因此,若企业所在行业具有较高比例的处理工厂,则该企业被视为受影响企业。第三,房地产市场厚度。若某一地区存在更多潜在买家,则减少购买者责任对该地区工厂的影响更为显著。本文依据企业通常倾向将资产出售给本地同行的事实(Bernstein et al., 2019),将同一县内同行数量处于前十分位的工厂界定为受影响工厂。图 3 展示了化工制造、金属制品制造和运输设备制造三大行业中,房地产市场厚度最高的县域分布。上述三种替代度量与主要度量在结果上保持一致,从而进一步增强了实证结论的稳健性。

图2 有连带责任和无连带责任州的分布情况

图3 化工制造、金属制品制造和运输设备制造行业的房地产市场厚度
三、经济预测
《棕地法案》对排放的影响在理论上较为模糊。一方面,免除购买者的清理责任可能通过增加土地所有者的净资产来减少排放。在美国,有限责任保护允许公司通过破产解除环境和其他债务。这些保护扭曲了危险行业公司的行为,激励其承担过度的环境和公共健康风险,在资不抵债时避免责任(Shavell, 1986; Boomhower, 2019)。通过减少购买者责任,该项改革通过提高土地所有者的净资产来减轻这种风险转移动机。经济力量解释了减少购买者责任如何对净资产产生积极影响:首先,减少购买者责任通过降低与收购工业土地相关的感知环境风险来增加对工业土地的需求。这种增加的需求推高了房地产价格(Sigma, 2010; Howland, 2000; McGrath, 2000),直接提高了当前土地所有者的净资产。其次,更大的需求改善了工业土地的流动性,使公司能够更有效地配置资源。在稀薄的资产市场中,公司可能被迫保留非生产性资产或错失收购更具生产性资产的机会。改善的流动性促进了公司间资产的有效重新配置,提高了生产率和盈利能力(Gavazza, 2011; Bernstein et al., 2019; Shleifer and Vishny, 1992; Hsieh and Klenow, 2009)。此外,增强的流动性提高了工业土地投资的可逆性,土地未来可重新配置使得公司更倾向于事前投资生产设备,从而提高土地利用率和公司价值。最后,减少购买者责任增加了土地的清算价值,使公司能够抵押具有更高抵押价值的资产。从而,贷款人在借款人违约时的风险降低,债务成本降低,公司价值提高(Williamson, 1988; Shleifer and Vishny, 1992; Bennelech et al., 2005; Cvijanovic, 2014; Bennelech and Bergman, 2009)。
另一方面,改革可能通过责任转移机制减少排放:随着购买者责任减少,清理负担转移给当前土地所有者,激励其减少污染。与净资产机制不同,责任转移机制降低了当前土地所有者的净资产,因为增加的环境风险导致资本成本更高,并阻碍土地所有者获得融资的能力。相反,改革可能通过使处理过的工厂更容易出售(即使已被污染)来增加排放。这可能会鼓励土地所有者产生更多污染,因为清理负担可以转移给未来免除责任的购买者。
四、研究设计
(一)数据来源
本文主要包括三个层面的数据:工厂、公司以及环境监管。首先,在工厂层面,文章使用美国环境保护署(EPA)污染物质排放清单(TRI) 数据,以空气、水和土地排放加总数以衡量工厂的总排放量,以生产比率和归一化产量衡量生产指标。TRI 覆盖了NAICS代码下409个行业,要求每年报告该设施向空气、水和土地排放的污染化学物质,同时在EPA的P2数据库中报告污染减排努力,具体分类如表A2所示。其次,在公司层面,文章将 TRI 工厂与 Compustat 财务数据库进行匹配,以Altman的Z - score来衡量破产风险,以托宾Q值来衡量企业价值,以所有者权益/总资产来衡量净资产。此外,文章还结合了 NETS数据库提供的工厂层面数据,以工厂关闭和搬迁后的房产销售衡量就业和工业地产交易,利用美国证券数据公司的Platinum数据库衡量公司层面的资产出售。最后,在监管层面,文章从EPA的执法和合规历史在线数据库(ECHO)和RCRAinfo数据库中获得环境执法数据,包括与CERCLA和RCRA有关的信息,用以判定工厂是否受这两部法律管辖。
表A2 污染减排分类

(二)描述性统计
表1展示了数据集的描述性统计,文章的连续变量进行上下1%缩尾处理。主要样本包含279284个工厂-化学品观测值,涵盖498种化学品和1012家公司拥有的9970家工厂。其中,7592家工厂和867家公司属于处理组。平均每家工厂每年每种化学品排放约3.565万磅污染污染物。在样本中,2.6%的工厂报告旨在防泄漏预防措施的减排投资。此外,5.7%的工厂实施与良好操作规范相关的减排努力,3.3%的工厂改进工艺流程以减少排放,平均生产比率为0.96。公司的Z-score为3.2,托宾Q值为1.6,杠杆比率为0.32,总资产达61亿美元。大约16.6%的公司每年报告至少一次资产剥离。平均每家工厂雇佣471人,关闭概率为1.4%,搬迁概率为0.9%。平均而言,每年有0.8%的工厂通过关闭和搬迁出售其房地产。变量定义如表A1所示。
表1 描述性统计

表A1 变量定义

(三)平衡性检验
表2比较了改革前处理组和对照组公司的特征。面板A报告了非TSDFs和TSDFs的结果。研究结果表明,处理组和对照组公司在排放、生产、Z得分、托宾Q值、杠杆比率或总资产方面没有显著差异,在投资防泄漏技术和改进生产工艺以减少污染方面亦类似。然而,处理组公司与经营相关的减排活动更多,可能因为更高的净资产驱动更大的污染减排努力。面板B根据公司是否将其大部分工厂设在没有连带责任的州来定义处理组和对照组。结果表明,虽然两组在大多数特征上没有差异,但在某些维度上存在不同。例如,处理组比对照组排放更多的污染化学品,表明位于责任制度较弱州的公司面临较低的环境处罚,因此排放更多的污染化学品,同时处理组公司的资产更少可能进一步导致其更高的污染排放。面板C根据公司运营的房地产市场的厚度被分类为处理组和对照组。结果显示,处理组公司比对照组公司排放的污染化学品更少。这种差异可能归因于厚房地产市场通常人口更密集,更高的人口密度吸引更多的监管审查,使得处理组公司面临更严格的环境监管,从而减少污染排放。综合来看,上述结果证明了使用TSDFs对处理组和对照组进行分类相比基于位置的衡量指标的优势。环境法规在不同地点差异很大,导致环境活动存在显著差异。相比之下,TSDFs和非TSDFs在美国分布更均匀,从而产生更同质的处理组和对照组分类。
表2 平衡性检验

(四)研究设计
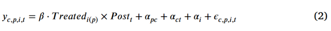
本文采用双重差分研究设计,利用《棕地法案》对不同类型工厂造成的异质性冲击来识别因果效应。文章参照Cohn et al. (2022),设置泊松模型如下:

其中,yc,p,i,t表示母公司i运营的工厂p在年份t排放的污染化学品c的磅数。Treati为指示变量,处理组公司等于1,否则为0。考虑到公司净资产的增加会影响其所有工厂的排放,文章使用公司层面的处理变量。Treatp为处理组工厂的指示变量。Postt为虚拟变量, 2002年及之后等于1,否则为0。文章还固定了工厂×化学品固定效应αpc、化学品×年份固定效应αct、公司固定效应αi。
五、有效性检验
(一)执法选择
文章首先使用EPA的ECHO和RCRAinfo数据库中的执法数据进行验证测试。第一个验证测试检验EPA在对处理组工厂进行污染治理时,更倾向于适用 CERCLA 还是 RCRA。鉴于《棕地法案》免除了购买者的CERCLA责任,处理组工厂相比对照组工厂更高的CERCLA执法风险暴露表明改革后购买者责任减少更多。据此文章估计以下线性概率模型:
![]()
其中,yp,t是指示变量,如果工厂p在t年受到CERCLA执法则为1,否则为0。Treatedp是指示变量,处理组工厂等于1,否则为0。首先,文章研究处理组和对照组工厂受到CERCLA执法的可能性,结果如表3的面板A所示。列(1)显示,与对照组工厂相比,处理组工厂中EPA执行CERCLA法规的可能性高出67.2%且差异具有经济显著性。列(2)加入EPA地区×年份固定效应,列(3)进一步控制了随时间变化的行业冲击。上述结果中系数估计保持稳定且在1%的水平上显著。接着,文章考察处理组和对照组工厂发生的平均CERCLA和RCRA清理次数,结果如表3面板B所示。虽然处理组和对照组工厂CERCLA清理次数相似,但对照组工厂承担更多的RCRA清理。平均对照组工厂发生0.641次RCRA清理,而处理组工厂仅发生0.045次且差异在1%的水平上显著。最后,文章结果还表明,处理组工厂中约三分之二的RCRA清理源于EPA调用应急清理权限或解决邻近TSDFs造成的污染,这与RCRA适用于非TSDFs的条件一致。
表3 执法选择的有效性检验

(二)资产剥离
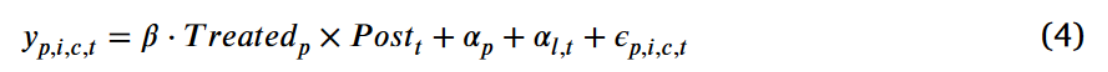
第二个验证测试检验处理组工厂在改革后是否增加资产剥离。测试动机来自先前研究,这些研究表明减少购买者责任促进房地产交易(Boyd et al., 1996; McGrath, 2000; Howland, 2000; Schoenbaum, 2002; Sigman, 2010)。据此文章估计以下工厂层面的双重差分模型:
![]()
其中,yc,p,i,t为指示变量,如果工厂p在年份t通过关闭或搬迁出售了其房地产,则等于1,否则为0。Treatp为处理组工厂的指示变量。Postt为虚拟变量, 2002年及之后等于1,否则为0。文章还固定了工厂固定效应αp、州×年份固定效应αlt,标准误在工厂层面聚类。表4的面板A报告工厂层面的回归结果。列(1)显示,与对照组工厂相比,处理组工厂在改革后出售房地产的概率增加了1.1个百分点,略高于出售房地产的无条件概率(0.8%)。列(2)和列(3)分别加入公司×年份和行业×年份固定效应时,结果保持不变。表4的面板A报告公司层面的回归结果。结果变量为指示变量,表示公司是否在年份t报告了资产剥离。Treati为处理组公司的指示变量。列(1)结果显示,与对照组公司相比,处理组公司在改革后资产出售的可能性增加了4.4个百分点,相比样本均值增加了27%。列(1)和列(3)结果仍然稳健。综上,表3和表4中的结果表明处理组工厂更多地受到《棕地法案》执法影响,因其相比于对照组在改革后CERCLA风险暴露和资产剥离均增加。
表4 《棕地法案》对资产出售的影响

六、实证结果
(一)污染排放
1. 主要衡量指标:TSDFs 与非TSDFs
基于处理组和对照组的分类,文章采取TSDFs 与非TSDFs的衡量指标来检验《棕地法案》对污染排放的影响。结果如表5所示。列(1)至列(3)使用公司层面的处理指标(Treati)。列(1)为基准模型,列(2)和列(3)分别加入行业×年份和州×年份固定效应,结果显示处理组公司相对于对照组公司减少了污染排放,估计系数范围从-0.071到-0.081,且均在5%的水平上显著。因此,这一效应在统计上显著,并且在经济上具有重要意义。列(4)至列(6)使用工厂层面的处理指标(Treatp),结果的估计系数范围从-0.028到-0.042,统计显著性较弱。列(7)同时包含公司层面与工厂层面的处理变量,即Postt分别与Treati以及Treatp进行交乘,结果表明排放下降的效应几乎完全来自公司层面。这一结果与“净资产传导机制”的预期一致:即通过增加净资产改善整体财务健康状况,企业在全公司范围内降低了排放。相反,如果“责任转移机制”是主要渠道,那么其作用应集中在处理工厂,而不是扩展到公司整体。
表5 《棕地法案》对污染排放的影响

图4中展示了改革前后系数的变化趋势以评估动态效应。文章通过将Postt替换为《棕地法案》前后各年份的虚拟变量,并与企业层面处理指标相交乘,结果显示改革之前的系数与零无显著差异,表明不存在预先趋势。改革之后处理组企业的排放量开始相对于对照组下降,且减排效应在2004年后趋于稳定。综上,结果满足平行趋势假设。

图4 动态效应检验
2. 替代衡量指标
文章使用了《棕地法案》影响程度的三种替代衡量指标。第一,利用各州环境责任的差异,将位于不采用连带责任制度的州的工厂分类为处理组。结果如表6的列(1)和列(2)所示。列(1)中,连续影响程度指标%Treated定义为2001年时企业位于无连带责任标准的州的工厂比例。结果显示,%Treated每增加一个标准差,对应改革后污染排放量下降2.5%。列(2)中,Treated定义为若企业的大部分工厂位于无连带责任标准的州,则取值为1。结果显示,处理组企业在2002年后的污染排放量相较于对照组减少了7.2%。第二,在行业层面衡量处理程度,若企业所在的行业(3位NAICS代码)中受改革影响的工厂比例较高,则认定该企业受改革的影响更大。结果如表6的列(3)和列(4)所示。列(3)中影响程度变量%Treated代表某企业所在行业中受改革影响的工厂比例,列(4)中若企业所在行业的%Treated处于上四分位数(比例 > 80%),则将该企业视为处理组,结果与主回归一致。第三,依据地方房地产市场的厚度来衡量影响程度。若某工厂的大量同业者(数量处于前十位)位于同一州,则认定该工厂受到影响。结果如表6的列(5)和列(6)所示。列(5)中,连续的影响程度指标%Treated定义为企业位于“厚市场”的工厂比例。列(6)中,若企业位于“厚市场”的工厂比例处于上四分位数(比例 > 63%),则将该企业视为处理组,结果与主回归一致。综上所述,研究结果对于衡量《棕地法案》影响程度的替代指标具有稳健性。
表6 替代衡量指标的结果

(二)减排活动
文章将减排活动的影响作为衡量环境结果的替代指标。根据美国环保署(EPA)的指导,投资减排活动是管理污染物的首选策略,如图A2所示。若改革通过鼓励土地所有者降低环境风险来减少排放,那么受影响的土地所有者应在改革后增加了污染减排努力。结果如表7所示。奇数列中的因变量为是否报告了特定类型的减排努力,偶数列的因变量为报告的减排努力数量。结果表明,2002年后,处理组企业相对于对照组企业增加了在防泄漏预防方面的努力。列(1)和列(2)的系数均为正且统计显著,然而没有显著证据表明处理组企业增加了对其他类型减排活动的投资。列(1)和列(2)的系数经济意义较小且统计不显著。上述结果与改革通过减弱土地所有者的风险承担动机来减少排放的观点相一致。

图A2 污染物管理等级
表7 减排投资的结果

(三)稳健性检验
文章采取稳健性检验以解决可能存在的内生性问题。第一个担忧为研究结果可能由技术进步或监管加强导致的污染排放长期下降趋势所驱动,而该趋势对污染排放主体的影响强度可能不同。如果处理组和对照组在改革前的排放水平不同,那么2002年后观察到的排放下降反映的可能是时间趋势,而非《棕地法案》影响。文章通过控制基于改革前排放水平的污染趋势变化,即在表5的回归中添加了 Toxic Emissionpre × Postt 交互项。Toxic Emissionpre代表工厂 p 在2002年前针对化学品 c 的平均排放量。表OA1结果显示,主要实证结果依然稳健。同时Treated × Postt 的估计系数基本不变,表明高排放者和低排放者之间的差异化污染趋势不太可能解释研究结果。
另一个担忧是,研究结果可能由同时期的行业冲击所驱动,这些冲击对处理组和对照组企业的排放产生差异化的影响。为评估这种可能性,文章进行了安慰剂检验,即在属于同一行业(2位SIC代码)的母公司的工厂中随机分配处理状态,迭代结果如图5所示。结果显示,安慰剂点估计值以零为中心(均值 = -0.003),并且在200次估计中,有196次的结果位于主要设定系数(红线)的右侧,表明同期行业冲击不太可能解释研究结果。

图5 安慰剂检验
其次,一个潜在问题源于两种环境法规(CERCLA 和 RCRA)之间可能存在的相关性。如果两种法规高度相关,那么处理指标可能捕捉到了一个共同的环境风险成分,即同时受两种法规管辖的工厂(对照组工厂)可能污染排放最多。文章使用ECHO数据库和RCRAinfo数据库中的数据计算了两种法规之间的相关性。表 O.A.2结果显示,两种法规之间的相关性仅为0.03。此外,在给定发生清理执法的条件下,CERCLA 与 RCRA 之间的相关性为-0.96。因此,两种法规之间的重叠不会干扰研究结果的解释。
再次,为确保结果不依赖于处理组企业的定义方式,文章改变了处理组分类的阈值。表 O.A.3 报告了研究结果。列(1)中,若一个企业至少有40%的工厂受到影响,则被归类为处理组。列(2)和列(3)中,处理组企业的阈值被提高到60%和70%。结果显示,交互项 Treated × Postt 系数显著为负,表明研究结果对于定义处理组企业所采用的阈值变化是稳健的。
最后,文章主要通过估计泊松模型来处理排放数据的偏态性。作为替代方案,表 O.A.4 中采取OLS模型,此方法的有效性严重依赖于使用能准确捕捉工厂污染排放暴露程度的标准化变量,因为噪声会使估计产生偏差(Cohn et al., 2022)。因此,列(1)使用污染排放量除以已管理污染废物量作为结果变量。列(2)和列(3)分别使用生产和就业人数以标准化污染排放量。结果显示,交互项 Treated × Postt 系数显著为负,表明该结果对于处理结果变量偏态性的替代方法是稳健的。
除上述测试外,文章还进行其他稳健性检验,表明研究发现不受TRI数据库报告的化学品和行业清单变化的影响(表 O.A.5)。采用不同的方式聚类标准误时(表 O.A.6)以及为处理序列相关性而压缩样本时(表 O.A.7),结果依然成立。最后,当扩大或缩小样本期间时(表 O.A.8)以及当排除更容易误报排放量的小型工厂时(表 O.A.9),估计效应仍然保持稳健。
七、机制分析
先前的结果表明,改革减少了企业的污染排放并增加了减排努力,尤其是处理组企业,该结果更符合净资产渠道而非责任转移机制。因为净资产的增加会影响所有工厂的排放,而清理责任的转移仅适用于处理组工厂。本章进一步探讨《棕地法案》影响企业污染排放的机制,重点比较净资产传导机制与责任转移机制。
(一)净资产传导机制
根据净资产传导机制,受影响企业的净资产应在《棕地法案》实施后增加,而责任转移机制则会导致负债增加,从而引起净资产下降。据此文章估计以下OLS模型:
![]()
其中,yi,t表示净资产的代理变量。Treati为处理组公司的指示变量。Postt为2002年及之后的指示变量。文章使用三个净资产的指标,回归结果如表8所示。第一个净资产衡量指标是阿特曼Z-score,与破产风险负相关。列(1)为基准模型,列(2)和列(3)分别加入行业×年份和州×年份固定效应,估计系数介于0.433和0.514之间,且在5%的水平上显著。结果表明,2002年后处理组企业的Z值相对于对照组企业有所提高,相当于样本均值的13.4%至15.9%。第二个净资产衡量指标是所有者权益与总资产的比率。列(4)至列(6)结果表明改革后处理组企业的净资产相对于对照组企业增加了0.026,标准差为0.254,即相当于净资产标准差的10.2%。第三个净资产衡量指标是托宾Q值。列(7)至列(9)结果表明改革后处理组企业的托宾Q值相对于对照组企业有所增加,估计系数介于0.155至0.177之间,相当于样本均值的9.8%至11.2%。上述结果表明,改革对工业企业的净资产具有积极影响,与净资产传导机制的预测一致。
(二)横截面异质性分析
文章研究污染排放量的减少是否随企业内化污染成本的程度而变化。财务状况不佳的企业可能不会完全内化污染的(全部)成本,因其通过破产解除环境责任(Akey and Appel, 2021; Bellon and Boualam, 2024; Ohirogge, 2023)。类似地,小企业倾向于采取风险更高的环境实践,因其无法内化超过其资产价值的清理成本(Shavell, 1986; Boomhower, 2019)。文章将上述企业称为具有强污染转移动机,净资产传导机制预测具有强污染转移动机的企业预计减排最多,而责任转移机制对上述企业的影响较小。据此文章根据污染转移动机的衡量指标对样本进行分组,采用以下三重差分作为估计模型:

其中,yc,p,i,t为指示变量,若企业具有高污染转移动机则等于1,否则为0。文章还固定了高污染转移动机×年份固定效应αproxy,t、工厂×化学品固定效应αpc、化学品×年份固定效应αct、公司固定效应αi。β2衡量了改革对高污染转移动机企业与低污染转移动机企业的差异化影响。文章使用以下污染转移动机的指标,回归结果如表9所示。第一种衡量指标是阿特曼Z-score,代表财务困境。文章将改革前平均Z值低于样本中位数的企业归类为困境企业,否则归类为非困境企业。面板A结果表明排放量的下降是由具有较高破产风险的企业驱动的,列1显示《棕地法案》对困境企业样本的估计效应为-0.118,且在5%的水平上显著,列2显示对非困境企业样本的估计效应为正且不显著,列(3)显示三重差分模型中三重交互项系数为-0.140,表明困境企业在改革后比非困境企业减排更多。第二种衡量指标是总资产,代表企业规模。文章将2002年前平均总资产低于样本中位数的企业定义为小企业,否则定义为大企业。面板B结果表明排放的减少主要由小企业驱动。列1显示《棕地法案》对小企业排放的效应为-0.155,列2显示对大企业的效应为-0.007,列(3)显示三重差分模型中三重交互项系数为负且在10%水平上显著,表明小企业相比大企业对《棕地法案》更大幅度减少排放。第三种衡量指标是或有环境负债,数据来自Akey and Appel(2021)。首先,或有环境负债的披露揭示了该企业倾向于从事高风险的环境实践。其次,在其他条件相同的情况下,具有更高或有环境负债的企业更接近违约,因此更倾向于转移污染。面板C结果表明,排放的减少集中在具有或有环境负债的企业中。三重交互项的系数为负且统计显著,表明具有此类负债的处理组企业相较于没有此类负债的企业,其减排幅度高出20.5%。第四种衡量指标是NETS数据库的Paydex得分,反映工厂的财务健康状况。较低的Paydex得分表示较差的财务健康状况和较高的偿付能力风险。面板D中,列(1)和列(2)显示,该效应是由Paydex得分较低的工厂驱动的。列(3)显示三重交互项的系数为负但不具有显著性,可能由于Paydex得分数据缺失导致样本量减少所致。总体而言,上述横截面检验证明结果是由净资产传导机制驱动的。
表9 污染转移动机的差异化影响

(三)经济活动
文章进一步研究了《棕地法案》对经济活动的影响。房地产通常可以作为债务融资的抵押品,房地产价格的上涨可以缓解融资约束,从而刺激经济活动(Ersahin and Irani, 2020; Chaney et al., 2012)。此外,土地市场流动性的改善可以通过促进资源的更有效配置来提高生产率(Gavazza, 2011; Hsieh and Klenow, 2009)。由于净资产传导机制是由房地产价值和流动性的增加所驱动的,所以经济活动的上升则支持净资产传导机制。相反,若观测到的排放减少伴随着经济活动的下降则证明责任转移机制。在责任转移机制下,购买者责任向土地所有者的转移增加其责任风险,可能会提高其资本成本并减少经济活动。
据此,文章使用了EPA的两种生产衡量指标来衡量经济活动:生产比率和归一化产量。结果如表10所示。列(1)至列(3)的因变量为生产比率,结果表明,改革后处理组企业的生产比率相对于对照组企业提高了2.6%至3.6%。列(1)至列(3)的因变量为归一化产量,结果与之前一致。文章还使用NETS的就业数据来衡量经济活动,同时将工厂×化学品固定效应替换为工厂固定效应,将化学品×年份固定效应替换为年份固定效应。列(7)至列(9)的因变量为工厂就业人数的对数,结果表明,处理组企业的就业人数相较于对照组增加约13%。综合来看,改革对生产和就业产生适度且积极的影响,进一步印证净资产传导机制。
(四)经济意义
文章评估净资产的增加是否足以解释观测到的污染排放下降。图6中估计的污染排放量与阿特曼Z-score之间的弹性表明Z得分每增加一个单位,排放量相应减少17%。改革后阿特曼Z-score的估计增幅在0.433和0.514之间表明污染排放量将减少7.4%至8.7%,与估计的7%的排放减少幅度高度吻合。计算的局限性在于阿特曼Z-score与排放量之间的关系可能并非线性;随着公司接近破产,其排放量可能会指数级增长。此外,Ohirogge (2023)研究发现公司在申请破产后排放量会显著下降。综上,计算结果一定程度上证明净资产的增加足以解释处理组公司的污染排放下降。总体而言,上述发现提供了净资产传导机制的关键证据。
八、结论
文章利用2002年《棕地法案》的实施研究污染资产剥离政策的事前后果。基于该项通过减少购买者责任来提高工业用地流动性的法案,研究发现减少购买者责任会导致当前土地所有者减少污染排放。文章采用双重差分模型进行估计,且结果在后续检验中均保持稳健。基准回归显示法案实施对净资产具有积极影响,横截面检验表明污染排放的减少在具有强污染转移动机的企业中更为显著,进一步分析发现该法案促进生产率和就业。综上,净资产传导机制是驱动污染排放下降的关键。综上,该政策通过增加棕地需求来促进资产剥离,提高现有土地所有者的净资产,减少其污染排放,提供资产剥离政策事前效应的经验证据。文章的局限在于无法得出关于购买者责任确定的福利结论,由于减少购买者责任的潜在缺陷为可能限制政府清理污染场地的资金,因而有待进一步研究。
Abstract:
This paper investigates how firms’ pollution incentives are influenced by their ability to divest polluted assets. My empirical setting is a major reform that exempts purchasers from liability for past contamination. Using a difference-in-differences framework, I find that the reform reduces toxic emissions, lowers bankruptcy risk, and increases firm value. Cross-sectional tests show that the decline in emissions is driven by firms with weaker financial health and fewer assets. These findings highlight a novel net worth channel: by limiting ex-post liability, the reform enhances landowners’ net worth ex-ante, reducing their incentives to engage in risky behavior, such as excessive emissions.