论文标题:Tax and Liquidity Effects in Pricing Government Bonds
中文标题:政府债券定价中的税收和流动性效应
原文来源:Elton Edwin J, T. Clifton Green. 1998. “Tax and liquidity effects in pricing government bonds”. Journal of Finance, 53, 5:1533-1562.
供稿:周聪
封面图片来源:Pexels
编者按
使用GovPX公司提供的更为精确的国债交易数据,文章研究了已有流动性指标的可靠性以及导致国债定价误差的原因。研究发现,相较于买卖价差、国债类型等指标,日交易量是更为准确的流动性指标。税收时机选择、税制改变和流动性仍会影响国债定价,但其影响程度要小于已有研究结论。
研究背景
由于国债具有确定性和收益固定的特点,其定价可使用现金流折现法。然而,按照即期利率对国债现金流进行折现来定价时,可能会存在定价误差。已有理论对该定价差异进行解释,其中就包括流动性效应、税收制度效应、税收客户、税收时点选取以及隔夜回购市场的影响。除以上因素外,非同步交易以及价格的模型或交易者估计值也会导致定价误差。由于很少有国债只受其中一种因素的影响,区分到底是哪种原因导致定价误差是较为困难的。例如,流动性较差国债的定价误差很可能与非同步交易或票面利率引起的税收效应有关。此外,也很难分清是模型价格还是经销商估计导致定价误差。因此,本文尝试分离出导致国债定价误差的各种因素,并研究这些因素对定价误差的影响程度。
数据来源
根据美联储公报,大约60%的国债交易发生在交易商之间,因此,本文数据主要包括短期国库券、中期国库票据以及长期国库债券这三类国债在政府交易商市场中的交易价格。本文选择GovPX提供的1991年6月17日-1995年9月29日的日交易数据进行分析。该数据包含每天的第一笔、最高、最低以及最后一笔交易的信息,交易时间精确到秒,以及最后一笔交易是以买价还是卖价完成的。该数据也会提供每支上市证券的日交易量以及买卖价差信息。此外,本文也在小样本范围内进行了检验,该小样本包含了三个子样本(样本1的样本区间为1991年10月1日-1992年2月2日;样本2的样本区间为1993年3月1日-1993年7月7日;3的样本区间为1995年5月23日-1995年9月29日)。
已有流动性指标的有效性分析
1.买卖价差
已有研究最常用买卖价差衡量流动性。文章分别将分析日当天交易和非分析日当天交易国债的买卖价差与国债特征进行回归。三个国债特征的定义如下:Bond代表国债种类,是一个虚拟变量,即若该国债属于债券则为1,否则为0;Volume代表交易量,对于分析日当天交易的国债,Volume等于其累计交易量的自然对数,对于分析日当天没有交易的国债,Volume等于其上次交易至今天数的自然对数;Maturity代表到期日,等于距离到期日的剩余年数。由回归结果可知,这三个特征变量可以解释不同证券之间买卖价差大约80%的差异。分析当日交易国债的买卖差价与Volume负相关,而分析当日未交易国债的买卖差价与Volume正相关。此外,买卖价差与Maturity以及Bond正相关。
2.国债类型
除了买卖价差之外,国债类型也可用于衡量流动性。实际上,交易量是衡量流动性更为恰当的指标,本部分使用交易量数据来检验国债类型指标的合理性。文章检验了在六个月以内到期的国债交易量信息。当测量区间为1天,85%的短期国库券以及71%的长期国库债券进行了交易;当测量区间为5天时,有99.6%的短期国库券以及95%的长期国库债券进行了交易。当测量区间为10天时,短期国库券和长期国库债券平均每天交易量的中位数分别为1.09亿美元和1700万美元。由以上结果可知,短期国库券的交易频率要高于长期国库债券,证明了对于在六个月以内到期的国债,其类型可以合理地代表流动性。
3.其他流动性指标
已有研究也使用了其他变量代表流动性,变量定义如下:若该国债属于短期国库券,则Bill为1,否则为0;若该国债为近期发行,则Active为1,否则为0;Age等于自发行至今的年限;若分析当日为周一,则Monday为1,否则为0,Tuesday至Thursday的定义同Monday。
导致定价误差的原因
使用现金流折现法计算债券定价时,可能会导致定价误差。导致定价误差的原因主要有以下几点:非同步交易,随机定价误差、流动性效应、税收效应以及回购协议中抵押品资产需求的截面变化。文章使用套利测试和对期限结构模型来研究定价误差的决定因素。
1.套利测试
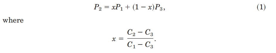
套利测试通常使用三个具有相同期限但票面利率不同的债券组合(Triplets)来研究税收时机、税收客户和税收制度的影响。假设税率为零时,根据一价定律(one price law),可列出下式(1)及其推导式。当税收效应存在时,式(1)左右两边将不相等。

研究税收时机选择的影响时,有必要排除其他税收因素的影响。因此,本文只研究溢价债券且三支债券都是在1985年9月28日之前或之后发行的投资组合。最后,由于税收时机选择也涉及到控制收益或损失的年份,本文研究样本不包括到期日少于一年的债券。
文章使用债券2与债券1和债券3所在投资组合的价格差异量化税收时机和流动性效应,具体如式(2)所示。若存在税收时机选择,债券2的价值应低于债券1和债券3投资组合的价值,即D应小于零。结果如表1所示,由Panel A第一行可知,当全部为新债券时,在227个样本中,有83%的D值小于0,平均价差为6美分。由Panel B可知,当全部为旧债券时,60%的D值小于0,平均价差为3美分。以上结果与已有研究相似。

此外,文章也进一步探讨了上述结果是流动性还是税收时机效应导致的。文章按照当天所有债券日成交量的中位数,将债券分为高成交量组和低成交量组。债券2与债券1和3投资组合之间较大的流动性差异会改变价格关系。具体来说,当债券2的流动性低于投资组合时(在表1中用HLH表示),债券2价格会降低,进而使D更负;反之,文章预期D的绝对值会降低。如表1 Panel A的第2、3行所示,结果与预期一致。然而,D值总是小于0,这表明税收时机效应和流动性效应都存在。
文章也研究了同时包含两个新债券和一个旧债券的投资组合,其中债券3为旧债券。由于旧债券具有税收优势,债券3的价格会上升,文章预期价格负向差异更大。结果如表1的Panel C所示,在2066个样本中,有69%的D值小于0,平均价差约为3美分。尽管价差仍为负值,但其绝对值小于全是新(旧)债券的投资组合,且显著大于只包括新债券投资组合的D值,与预期不一致,表明市场价格并没有反映出新旧债券的税收处理差异。文章也用税收优惠的现值来调整旧债券的价格,并将调整后价格与新债券的价格进行比较。结果如表1的Panel D所示,D值有所增加,与预期保持一致。
表1 税收和流动性效应对债券组合价格的影响

为了进一步研究流动性的影响,文章构建了包含三个以上债券的投资组合。为保证有较大的流动性差异,一类组合只包含高交易量债券,另一类组合则只包含低交易量债券。若流动性确实会产生影响,那么低交易量组合的价格应该较低。文章选择在2月15日和8月15日到期的债券,若没有在该日期到期的债券,则选择在月底到期的,每个投资组合中至少要包含五支债券,所选债券期限在2.5-5年之间。若有两个以上债券在同一天交易,则选择交易量差异最大的两个。对于不在15日到期的债券,使用远期利率将其现金流调整至15日。此外,高成交量组和低成交量组的调整频率大致相同,因此,现金流调整误差应该不会影响结果。
结果如表2所示,其中Panel A使用日交易量,Panel B使用10日平均交易量。可以看出,低成交量组和高成交量组的平均成交量差异很大。但低交易量组成本与高交易量组成本比值(Low Volume Price)并不显著异于1,且样本3中,该比值显著大于1,说明低成交量组的价格并不显著低于高成交量组的价格。
文章进一步检验了税收效应。使用票面利率作为税收效应的代理变量,将价格比率(Low Volume Price)与高低两组加权平均票面利率之差(High Volume Coupon减Low Volume Coupon)进行回归,发现系数不显著,票面利率之差无法解释价格差异,不支持税收效应。
文章也检验了非同步交易的影响。表2中High Volume Time和Low Volume Time分别表示高低两组的加权平均交易时间,可以看出,低组的平均交易时间要长约一个小时。价格可能在一天内下降,因此,低组的价格可能要高于同步交易价格。为了检验这一点,文章使用日平均回报率将较早的价格调整为较晚的价格,结果显示,调整后价格可能会上升或下降,调整后的价差结果不变,不支持非同步交易的影响。
最后,文章检验了买卖价差的影响。High(Low) Volume Avg. Hits列分别报告了高低组中按买价进行交易的比例。与高交易组相比,低交易组更可能以买价交易,这将导致低组成本低于高组成本。然而,Low Volume Price列中结果并不支持该结论,而且高低组成本差与交易比例差之间不存在显著相关关系。因此,买卖价差无法解释投资组合的价格差异。
表2 高低交易量组之间的价格差异

2.期限结构测试
为研究税收和流动性在整个债券期限的影响,首先要确定债券期限结构模型,然后将债券税后现金流量与该模型匹配,进而估计投资者面临的税率,若税率估计值显著异于0,则说明存在税收效应。为使债券定价尽量准确,文章使用非线性最小二乘法将Litzenberger和Rolfo(1984a)的三次样条(cubic spline)模型与每个时期的债券税后现金流拟合。为了捕捉流动性对债券价格的影响,文章也在方程中加入了流动性项(交易量的自然对数)。本部分样本是到期日小于或等于10年的债券。
表3报告了样本1-3以及综合样本的均方根误差、税率以及流动性的估计均值。综合样本的税率估计均值为8%。Number Sig./Sample列报告了税率估计值在5%水平上显著异于0的样本数,由该列可知,在样本1中,税率估计值有69次在5%水平上显著异于0,而在样本2和样本3中只有11次和18次。图1进一步展示了税率估计值的分布情况。可以看出,尽管税率估计值的波动较大,但大多接近于0。
表3 流动性以及税率估计值


图1 税率估计值的分布情况
就流动性效应而言,在表3的综合样本中,流动性系数估计值有160次在5%水平上显著异于0,图2也表明流动性系数估计值也波动较大,平均流动性系数为2.25个基点,交易量最大值和最小值之间相差13个基点(等于交易量自然对数的最大值5.8与最小值0之差乘以系数估计值2.25)。该数值远小于已有研究成果,说明尽管流动性效应很重要,但其对国债价格的影响程度并没有那么大。数据精准性抑或是国债市场效率的提高都可能导致该结果。税收效应和流动性效应并不显著影响债券定价的结果表明,在估计债券期限结构时,使用大样本进行估计的误差可能更小。

图2 流动性系数估计值的分布情况
表3中均方根误差(RMSE)为每100美元0.1363。约20%的均方根误差可以归因于买卖价差。为研究剩余误差与债券特征的关系,文章将定价误差与一系列的债券特征进行回归。结果见表4。左栏报告了考虑税收和流动性效应时的回归结果,右栏报告了这两个参数被限制为零时的回归结果。变量定义如下:Discount(Premium)等于100美元面值债券的折价额(溢价额);Age等于自发行至今的年限;Nonsync.代表非同步交易,等于日价格变化乘以最后一笔交易和美国东部时间下午6点之间的时间差;Tax Reg.是虚拟变量,若债券以溢价交易且在1985年9月28日之前发行,则等于1,否则为0;Bid为虚拟变量。若债券以买价交易则为1,以卖价交易则为0;Active为虚拟变量,若某债券是近期发行的,则为1,否则为0。
表4 剩余定价误差与国债特征的回归结果

由表4可知,Tax Reg.系数不显著,与预期一致,进一步证明了税收效应较小。Premium和Discount的系数均显著为负,表明较多投资者不愿持有高折价或高溢价债券。左栏中Age系数并不显著,这是因为在估计时已经考虑了流动性效应(交易量的自然对数)。而在右栏中的Age系数显著为负,表明Age可以代表流动性。Nonsync.系数显著为负,表明若债券价格在一天内稳定上涨且最后一次交易发生在闭市前,债券估计价格要低于其公允价值,即定价误差为负。Active系数显著为正,该变量代表回购的影响。Bid系数显著为负,表明买卖价差会显著影响定价误差,但影响程度较低。
研究结论
文章首先研究流动性相关指标,发现债券交易量是更为可靠的流动性衡量标准。其次,文章通过套利测试和期限结构模型研究税收效应和流动性效应。研究发现,与高流动性或近期发售有关的部分溢价是回购带来的,由于受托人避免购买高溢价或高折价债券,该类债券的实际销售价格要小于预期。使用GovPX提供的更为精确的交易数据后发现,税收时机选择、税制改变和流动性差异仍会影响定价误差,但影响程度要小于已有研究结论,导致该现象的原因可能是国债市场效率或数据准确性的提高。本文研究结论对投资者以及债券从业人员具有重要意义。
Abstract:
Daily data from interdealer government bond brokers are examined for tax and liquidity effects. We use two approaches to create cash flow matching portfolios of similar securities and look for pricing discrepancies associated with liquidity or tax effects. We also look for the presence of tax and liquidity effects by including a liquidity term when fitting a cubic spline to the after-tax yield curve. We find evidence of tax timing options and liquidity effects. However, the effects are much smaller than previously reported and the effects of liquidity are primarily due to high volume bonds with long maturities.