论文标题:Policy Uncertainty Reduces Green Innovation
中文标题:政策不确定性抑制绿色创新
原文来源:Mengyu Wang, Jeffrey Wurgler, Hong Zhang. 2026.“Policy uncertainty reduces green innovation”Jounal of Finance Economics 175:104189.
供稿:倪丹丹
封面图片来源:Pexels
编者按:政策不确定性会削弱政府补贴对环保研发的激励作用。研究表明,随着环境补贴不确定性的上升,中国企业的绿色研发投入呈下降趋势。具体而言,受天气因素驱动的空气污染波动会导致补贴发放出现变动。在控制补贴平均水平的前提下,位于天气驱动型补贴波动较大地区的企业,其绿色研发投入更少,技术岗位雇佣人数也更少。重污染企业与环保技术企业受到的影响尤为显著。研究结果还揭示,当政策制定者受突出性事件影响,且难以厘清事件成因时,政策不确定性便会随之产生。
空气污染治理至关重要,因为空气中的颗粒物会对人体健康和经济发展产生隐蔽却广泛的影响。颗粒物平均会使人类寿命缩短2年,并降低剩余寿命的健康质量。在中国,据估算空气污染导致的死亡人数占总死亡人数的比例高达17%。颗粒物造成的经济后果包括生产力下降、人力资本积累受阻、经济增长放缓、投资者行为与股票价格异动等,其潜在危害仍有待进一步挖掘。
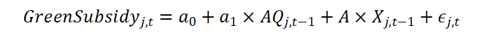
文章旨在探究环境补贴对中国企业绿色投资的激励效果。这类补贴的初衷是通过弥补负外部性,使原本无利可图的环保项目具备投资价值。然而,当补贴发放缺乏稳定性时,企业会倾向于采取观望策略,等待更多信息以明确补贴的可持续性。这一现象会引发典型的政策不确定性效应,进而抑制企业投资。政策不确定性是企业普遍面临的问题,其诱因涵盖税率调整、监管政策变化、贸易政策变动等政府干预行为,也可能源于金融危机、选举周期、党派冲突、债务上限争议等事件,且往往具有内生性特征。政策不确定性相关研究成果颇丰,文章后续将展开详细论述。但目前,关于政策不确定性对绿色投资影响的研究相对匮乏,其在蓬勃发展的气候金融与绿色金融领域的适用性仍需验证。
为填补这一研究空白,文章提出一种新颖的行为传导机制,用以识别环境补贴政策中存在的非预期性不确定性,并证实此类政策不确定性会抑制补贴本应激励的绿色研发投资。研究思路如下:假设存在一个中央计划部门,该部门定期向企业分配补贴,以鼓励环保投资。其工作的起点是确定污染问题的关键区域。然而,在一个城市中,对众多污染源进行全面监测几乎不具备可行性,更遑论在全国范围内对数千个区域开展此项工作。因此,政策制定者只能依靠有限的监测设备获取数据。借助多地区的空气质量指数(AQI)数据,中央计划部门可以设定治理目标,并将补贴向污染严重地区倾斜,最终精准分配给能够高效利用补贴的企业。
图1揭示了补贴分配在实践中远比理论复杂,同时凸显了突出性因素引发政策不确定性的合理性。面板A展示了2014年不同工作日北京同一栋建筑的景象。面板B将这些景象与风速及对应的空气质量指数关联起来。导致建筑景象差异的并非当地稳定的污染源排放,而是风速的细微变化,因为风能有效扩散空气污染。面板C则呈现了空气质量指数与降雨量之间的类似关系,降雨会将空气中的颗粒物冲刷至地面,从而改善空气质量。鉴于天气状况既能缓解污染,也可能加剧污染,且其变化不仅存在于逐日尺度,还会在政策制定所关注的时段尺度上,随平均气象条件波动,这使得污染成因的界定变得困难,进而导致补贴分配容易受到天气“干扰因素”的影响。
在线附录详细推导并证明了以下比较静态分析结果:
表1 描述性统计结果


表2 关于空气污染治理的回归分析

5. 补贴政策不确定性对绿色研发与就业的影响
本部分呈现文章的核心实证结果。首先,文章将构建气象条件、空气质量指数与补贴政策之间的关联机制,并基于气象波动构建补贴政策不确定性的工具变量。随后,文章将实证检验政策不确定性对绿色研发投资的影响。
5.1预备分析:气象条件对空气质量指数的影响
图1直观地展示了空气质量指数与气象条件的关联,但该图仅呈现了单日或单周的短期波动,以及单个城市的情况。而政策制定往往基于更长时间尺度的气象与环境数据。因此,文章构建如下回归模型,定量分析气象条件对空气质量指数的影响:
其中,AQI表示第j个城市在第t年第s个季节的日均空气质量指数;WindSpeed和RainVolume分别为对应城市-年度-季节的日均风速和日均降雨量。考虑到中国北方城市冬季燃煤供暖会加剧空气污染,文章分别对供暖季和非供暖季的样本进行回归分析。X为城市特征控制变量向量,包括人均消费对数、地区生产总值对数、地区生产总值增长率和人口增长率。模型中还纳入了城市固定效应和年份固定效应,并采用城市和年份双重聚类的标准误。
尽管空气质量指数旨在衡量污染源排放强度,但图1显示,气象条件(风速、降雨量)同样会对其产生显著影响。从科学原理来看,风能驱散近地面的污染物,降雨则能冲刷空气中的颗粒物,二者均会改善空气质量。文章的回归模型无需构建复杂的空气污染扩散模型,只需捕捉风速和降雨量对空气质量指数的一阶影响。
表3的回归结果验证了气象条件与空气质量指数的预期关系。无论是供暖季还是非供暖季,无论是北方城市还是全国样本,风速和降雨量的增加均会显著降低空气质量指数。例如,在全国样本的供暖季,日均风速每增加1米/秒,日均空气质量指数将下降3.15;在北方城市的供暖季,这一降幅扩大至5.13。这一结果充分证实,在控制城市和年份固定效应后,气象条件对城市年度空气质量指数具有显著的因果影响。更多稳健性检验结果详见在线附录。
表3 关于空气质量的回归分析

5.2第一阶段回归:基于气象波动的政策不确定性工具变量
正如政策不确定性文献所指出的,当投资行为与经济不确定性负相关,且政策制定本身受不确定性影响时,政策不确定性与企业投资之间可能存在内生性问题。为解决这一问题,学者们通常需要寻找外生的政策不确定性冲击。既有研究多聚焦于政治冲击,例如帕斯托和韦罗内西探讨了政策不确定性对资产价格的影响,贝克等人分析了政府活动和政治极化对政策不确定性的作用,高维桑卡兰等人则研究了空气质量标准相关的法律不确定性。贝克等人构建的政策不确定性指数,涵盖了财政政策、货币政策、监管政策和国家安全等多个维度。
在文章的研究场景中,前文的分析为构建基于气象波动的工具变量提供了思路。一个生动的案例能够直观地说明这一机制:2010年11月19日,美国驻华大使馆监测到的北京空气质量指数飙升至562。负责使馆空气质量监测数据发布的程序员,显然未曾预料到空气污染会达到如此严重的程度,于是在推特上戏谑地将其描述为“疯狂糟糕”。有官员表示,目前尚无足够的研究能够解释本周雾霾天气的成因,推测可能是气象条件、交通污染和燃煤发电等因素共同作用的结果。尽管此次污染峰值的成因难以明确界定,但文章的数据显示,次年北京市属企业获得的环境补贴金额增长了78%。
从理论层面看,基于气象波动的工具变量构建,源于现实政治压力与个体决策中普遍存在的认知偏差。在中国,负责区域和城市补贴分配的官员,处于特定的制度激励框架下,其政策裁量权可能超出自身的专业能力范围。同时,官员群体及所服务的公众,可能受到突出性偏差、外推偏差、投射偏差、近因偏差和可得性偏差等认知偏差的影响。这些偏差会导致政策制定者对近期的极端污染事件做出过度反应,而未能充分考虑气象因素在其中的作用。
具体而言,政策制定者的注意力和决策过程,容易被近期极端空气污染等突出性事件所主导。尽管风速、降雨量等气象条件的微小变化,会对空气质量产生显著影响,但这些因素的作用往往被忽视。此外,政策制定者可能基于当前的污染状况,外推补贴政策的效果,而未能充分考虑气象波动的随机性。已有大量研究证实,决策者存在过度重视近期信息的倾向。这些认知偏差相互关联、相互强化,例如突出性偏差和近因偏差均会加剧可得性偏差,而代表性偏差和生动性偏差也会产生类似的影响。
已有研究探讨了认知偏差在空气污染治理中的作用。例如,常等人发现,空气污染程度的波动会影响居民对健康保险的需求。正如常等人和布塞等人所指出的,这些认知偏差对实际数据的影响具有相似的预测方向。因此,文章将这些偏差视为一个整体,揭示了一条由气象波动引发政策不确定性的新型传导机制。此外,在中国这样一个强调社会稳定、设定量化政策目标的国家,地方官员可能面临“必须有所作为”的政治压力。当这种压力并非源于污染源排放强度的实际变化,而是部分源于对气象因素的误判时,其本质也是近因偏差导致的政策扭曲。
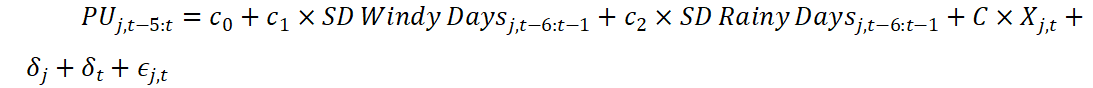
基于上述分析,文章将城市-年度层面的政策不确定性(PU)定义为:城市补贴水平经特征变量调整后的六年滚动标准差。借鉴已有文献的做法,采用政策变量的时间序列波动率衡量不确定性具有合理性。六年滚动窗口的选择,平衡了样本量与数据时效性之间的矛盾。具体而言,文章首先通过回归模型(表2模型1),剔除城市特征变量对补贴的影响,得到残差项;随后计算该残差项的六年滚动标准差,作为政策不确定性的代理变量。调整城市特征变量的原因在于,城市的经济发展水平、增长速度等特征,会影响中央政府的常规资源分配。例如,经济更发达或增长更快的城市,可能因污染问题更严重而获得更多补贴,或者政府出于政治考量,对这些城市的污染治理给予更多关注。在线附录的稳健性检验表明,滚动窗口的长度和特征变量调整的具体方法,对实证结果没有实质性影响。
表4首先报告了普通最小二乘法(OLS)的回归结果,作为基准参考。由于内生性问题的存在,政策不确定性(PU)的系数难以直接解释,但该系数为负,初步表明政策不确定性与绿色研发投资之间存在负相关关系。
表4 关于城市企业绿色研发投资的回归分析
为解决内生性问题,文章采用两阶段最小二乘法(2SLS),并将气象波动作为政策不确定性的工具变量。第一阶段回归模型设定如下:

其中,解释变量为前六年的大风日数标准差和大雨日数标准差。政策不确定性与气象波动之间的一年期滞后设定,与前文公式(4)和(5)的逻辑一致:气象条件影响当期空气质量指数,进而影响下一年的补贴政策。尽管现实中政策响应可能存在滞后或提前的情况,但稳健性检验表明,这一时间设定对结果无关键影响。模型中同样控制了城市特征变量、城市固定效应和年份固定效应。
表4模型(2)报告了第一阶段的回归结果。正如预期的那样,气象条件的异常波动,会导致城市补贴政策偏离其长期平均水平,即加剧政策不确定性。定量分析显示,当大风日数和大雨日数的波动程度相对于城市长期平均水平上升一个标准差时,政策不确定性将增加0.228个标准差。工具变量的弱工具变量检验F统计量为14.5,表明气象波动变量能够有效解释政策不确定性的变异,满足工具变量的相关性要求。
基于第一阶段回归结果,文章构建拟合值PU^j,t−5:t,作为政策不确定性的工具变量:
![]()
5.3第二阶段回归:政策不确定性对绿色研发的影响
第二阶段回归旨在分析外生政策不确定性对绿色研发投资的因果效应。被解释变量为城市层面的绿色研发支出总额的对数值。考虑到气象条件的城市层面波动特征,将企业数据汇总至城市层面进行分析具有合理性。第二阶段回归模型设定如下:

其中,GreenR&D为第j个城市第t+1年的绿色研发支出总额对数值;核心解释变量为政策不确定性的工具变量;控制变量包括城市前六年的平均补贴水平(AvgSubsidy),以捕捉补贴规模对绿色研发的激励作用;X为城市特征控制变量向量;模型还纳入了城市固定效应和年份固定效应。
文章的核心研究假设是:政策制定者未能充分考虑气象因素对空气质量的影响,导致补贴政策出现外生的不确定性,进而抑制企业的绿色技术投资。若该假设成立,工具变量的系数应显著为负。
表4的其余列报告了第二阶段的回归结果。首先,补贴平均水平的系数显著为正,表明补贴政策确实对绿色研发投资具有激励作用。定量分析显示,补贴平均水平每上升一个标准差,城市绿色研发投资将增加0.158个标准差。这一结论与豪厄尔关于美国环境补贴激励企业创新的研究发现相一致。
然而,政策不确定性对绿色研发投资具有显著的抑制作用。以模型(5)为例,结合第一阶段回归结果计算可知,当大风日数和大雨日数的波动程度上升一个标准差时,城市绿色研发投资将下降0.132个标准差。对比补贴平均水平的正向效应与政策不确定性的负向效应可以发现,政策不确定性会显著削弱补贴政策对企业绿色投资的激励效果。
两阶段最小二乘法的估计系数显著大于普通最小二乘法的系数,这一结果具有明确的经济学含义。导致这一差异的原因主要包括:一是遗漏变量问题,普通最小二乘法未能控制影响政策不确定性和绿色研发的潜在变量;二是测量误差,实际政策不确定性中包含与绿色研发无关的噪声成分,而工具变量法能够剥离这部分噪声,捕捉政策不确定性的外生冲击;三是样本异质性,工具变量法估计的是“处理效应”,即政策不确定性对那些受补贴政策影响较大的企业的作用,而普通最小二乘法估计的是平均效应。下文的企业层面异质性分析,将为这一解释提供进一步的实证支持。
5.4稳健性检验
文章的核心结论在多种替代性设定和变量度量方式下依然成立,并且通过了安慰剂检验。表5报告了部分稳健性检验结果,更多检验详见在线附录。
表5 稳健性检验
模型(1)剔除了绿色研发支出为零的城市-年度观测值,回归结果与基准模型基本一致。在线附录的检验进一步表明,剔除补贴为零的观测值,或剔除城市首次获得补贴前的观测值,均不会改变结论。模型(2)调整了空气质量指数的计算方式,采用两年移动平均值作为核心解释变量,结果依然稳健。这一调整考虑到补贴政策的制定可能基于更长时间尺度的空气质量数据。例如,第t年的补贴分配,可能在第t−1年年末确定,此时第t−1年的完整空气质量数据尚未公布。
模型(3)在回归中加入了非气象因素导致的空气质量指数波动,作为额外控制变量。具体而言,文章通过回归模型剔除气象因素对空气质量指数的影响,将残差项定义为非气象因素驱动的空气质量指数,并计算其六年滚动标准差。回归结果显示,控制该变量后,政策不确定性的系数几乎没有变化,表明气象波动对政策不确定性的影响具有独立性。
模型(4)调整了政策不确定性的计算方式,在剔除城市特征变量的基础上,进一步控制了企业特征变量的加权平均值。结果表明,这一调整对核心结论无实质性影响。
模型(5)将样本期分为前后两个子样本,检验核心结论在不同时期的稳定性。结果显示,在后半段样本期内,政策不确定性对绿色研发的抑制作用更强。这可能是因为随着环境问题日益受到关注,补贴政策的使用频率和波动程度均有所上升。
模型(6)至模型(8)为安慰剂检验,旨在验证政策不确定性的影响具有针对性。结果表明:第一,由气象因素引发的绿色补贴政策不确定性,对非绿色研发投资没有显著影响;第二,该不确定性对城市层面的总资本支出无显著作用;第三,考虑到有人可能担忧极端空气污染会抑制房地产投资,文章以房地产企业的资本支出为被解释变量进行回归,结果显示政策不确定性对其同样无显著影响。这些安慰剂检验结果,有力地支持了文章提出的传导机制,验证了工具变量的排他性假设。
在线附录还进行了其他稳健性检验,包括调整环境关键词列表、对极端值进行缩尾处理、加入污染物排放变量、控制空气质量指数的波动率,以及采用年度平均回归方法替代面板回归等。所有检验均表明,文章的核心结论具有稳健性。
5.5政策不确定性影响的异质性分析
本部分利用企业-年度层面的数据,检验模型的比较静态分析假设。模型预测,两类企业对政策不确定性的敏感度更高:一是补贴依赖度高的企业;二是面临融资约束、补贴对缓解其财务压力作用更大的企业。
文章构建如下企业层面的回归模型,引入政策不确定性工具变量与企业类型的交互项:
其中,GreenR&Di∈j,t+1表示第j个城市的第i家企业在第t+1年的绿色研发支出对数值;FirmTypei∈j,t为企业类型的指示变量,包括绿色科技企业、总部位于大城市的企业、大规模企业、能源企业、制造业企业、矿业企业和化工企业等。在控制企业固定效应后,企业类型指示变量的主效应被吸收,因此模型中仅关注交互项的系数。
表6报告了企业层面的回归结果。首先,政策不确定性对企业绿色研发投资的抑制作用,在企业层面依然显著。其次,模型(2)显示,绿色科技企业受政策不确定性的影响远大于其他企业。这一结果符合直觉,但从政策目标来看,却并非理想结果,因为绿色科技企业正是补贴政策旨在激励的核心对象。
表6 环境补贴政策不确定性对企业绿色研发的影响分析

后续模型进一步分析了企业其他特征的调节作用。结果表明:总部所在地、企业规模和所有制性质(国有企业)等特征,对政策不确定性的影响无显著调节作用。这可能是因为国有企业虽与政府联系更为紧密,但同时也面临更严格的政策约束,两种效应相互抵消。而补贴依赖度高的企业,对政策不确定性的敏感度显著更高。这一结果与简易模型的预测完全一致。
针对部分企业存在注册地与总部所在地分离的情况,文章构建了相应的指示变量。回归结果显示,这类企业受政策不确定性的影响,与其他企业无显著差异。
行业层面的分析结果显示,制造业和水利、环境及公共设施管理业的企业,受政策不确定性的影响最为显著。制造业包含化工、金属冶炼等重污染行业,而公共设施管理业涵盖了大量环保企业。表6的最后一列表明,即使同时纳入多个行业的交互项,各行业的调节效应依然显著。
表7进一步检验了简易模型关于融资约束的预测。如前文所述,融资约束的度量一直是学术界的难题,且由于中国上市公司的经营结构差异较大,这一问题更为突出。文章采用中国股票市场与会计研究数据库(CSMAR)提供的融资约束代理变量:一是过度负债程度,定义为企业实际资产负债率与目标资产负债率的差值;二是利息保障倍数A,计算公式为(净利润+所得税费用+利息费用)/利息费用;三是利息保障倍数B,计算公式为(净利润+利息费用)/利息费用。
表7环境补贴政策不确定性对绿色科技企业绿色研发的影响分析
回归结果与模型预测一致。在绿色科技企业样本中,过度负债程度高、利息保障倍数低的企业,对政策不确定性的敏感度显著更高,且这一效应具有重要的经济意义。例如,模型(2)中,政策不确定性与绿色科技企业的交互项系数为-0.60,政策不确定性、绿色科技企业与过度负债程度的三重交互项系数为-0.55。定量分析显示,当气象波动上升一个标准差时,绿色科技企业的绿色研发投资将下降5.8%;而过度负债程度每上升一个标准差,将使这一降幅进一步扩大14%。
5.6政策不确定性对绿色研发就业的影响
布鲁姆的研究表明,企业在雇佣员工时面临显著的调整成本,这与研发投资的不可逆性机制类似,均会导致企业在面对不确定性时采取观望策略。借鉴前文的两阶段回归分析框架,文章进一步探讨补贴政策不确定性对绿色研发就业的影响。
回归分析重新回到城市-年度层面。被解释变量为绿色研发就业人数,定义为城市内开展绿色研发的企业中,研发人员和技术人员总数加1后的对数值。这一指标能够准确衡量补贴政策支持的就业岗位数量。
表8报告了回归结果。与对绿色研发投资的影响一致,政策不确定性的上升,会显著减少城市绿色研发领域的就业人数。定量分析显示,当大风日数和大雨日数的波动程度上升一个标准差时,城市绿色研发就业人数将下降0.153个标准差。尽管绿色研发产出的具体函数形式难以确定,但政策不确定性对绿色研发投资和就业的影响程度处于同一数量级。
表8 补贴政策不确定性对城市企业环境研发人员数量的影响分析
6. 结论
文章的研究表明,经济政策不确定性会对绿色创新产生实质性影响,从而搭建起政策不确定性与绿色投资两大研究领域之间的桥梁。以中国的环境补贴政策为研究场景,文章发现,由气象因素驱动的外生补贴波动,会抑制补贴本应激励的绿色研发投资和技术岗位雇佣。这种抑制效应在绿色科技企业、补贴依赖度高的企业和面临融资约束的企业中尤为显著。
文章呼吁学术界进一步关注绿色投资的实际影响因素。同时,文章揭示了政策不确定性的一种新型生成机制。既有研究多聚焦于政治冲击,而文章发现,个体决策中普遍存在的近因偏差,同样会引发政策不确定性。在文章的研究场景中,政策制定者对气象因素导致的空气污染波动做出过度反应,从而加剧了补贴政策的不确定性。这一机制具有广泛的适用性:在经济和金融政策制定过程中,政策制定者往往需要对突发且引人关注的问题迅速做出回应,即便问题的成因是外生因素与内生因素的复杂组合,且最优政策方案尚不明朗。
Abstract
Policy uncertainty can undermine the power of government subsidies to stimulate environmentally friendly research and development. We show that Chinese firms’ green R&D falls as the uncertainty of environmental subsidies rises: Exogenous, weather-driven air pollution variability induces subsidies to fluctuate, and firms in areas with high weather-driven subsidy variability undertake less green R&D and hire fewer technical employees, controlling for the average level of subsidies. Heavy emitters and environmental technology firms are more affected. The results also illustrate how policy uncertainty can arise when policymakers are influenced by conditions that are salient but with causes that are difficult to disentangle.
https://www.sciencedirect.com/science/article/pii/S0304405X25001977