论文标题:Is Capital Structure Irrelevant with ESG Investors?
中文标题:资本结构与ESG投资者无关吗?
原文来源:Peter Feldhütter, Lasse Heje Pedersen. 2025. “Is Capital Structure Irrelevant with ESG Investors?” The Review of Financial Studies 38(8): 2362–2385.
供稿:黄祯羽
封面图片来源:Pexels
编者按:文章围绕“ESG表现能否降低企业整体融资成本”这一核心问题,从理论与实证两个层面展开研究。理论方面,文章基于莫迪格莱尼-米勒定理构建了“ESG-MM”理论框架,指出在理想市场条件下,企业资本成本仅由其总碳排放量与现金流决定,而与融资结构无关,即证券的“绿色”标签本身并不产生价值效应。然而,实证分析结果与理论预期存在显著差异。通过对丹麦、德国绿色主权债券以及企业债券重分类案例的检验,文章发现绿色债券存在显著的收益率优势(即“绿色溢价”)。进一步证据表明,发行人的整体资本成本在部分情境下出现下降,这与ESG-MM定理的推论相悖。研究结论指出,现实市场中投资者行为可能偏离理论假设,即投资者将绿色债券视为独立绿色资产,却未对发行人其余资产进行相应的“褐色”重定价。这一发现具有重要政策启示:ESG金融工具虽能实际影响融资成本,但也存在“漂绿”风险,如何强化其与实体减排的关联,是未来监管与市场机制设计的重点。
一、研究背景
在ESG投资者的参与下,企业可以通过减少污染来降低资本成本,但资本结构的设计也能降低资本成本吗?例如,许多公司和政府发行绿色债券和其他“标签”证券,但这种标签是否降低了发行人的总体资本成本呢?文章的经验证据回答“是的”。这一答案令人惊讶,因为证券贴上“绿色”标签,本身并不一定会降低发行公司或政府的排放量。理论上确实表明,在特定条件下,发行人的资本成本不应受资本结构(包括证券标签)的影响。这些研究结果对于绿色债券是会产生激励减排效应,还是扭曲减排动机具有重要启示。
理解证券设计如何影响资本成本和企业价值是金融学中的经典问题。正如米勒(1990)在诺贝尔奖演讲中所指出的,莫迪格莱尼-米勒(MM)定理认为“命题实为金融学领域的‘守恒定律’”。MM定理表明,在下列两个条件下,所有资本结构中的企业总价值保持不变:①现金流市场定价呈线性(亦称“完全市场”或“一价定律”);②所有负债对应的现金流之和等于资产总现金流。
将上述MM定理推广至投资者关注ESG的经济环境中,若投资者关注碳排放,则更环保的企业资本成本更低——但给定企业的环保程度时,发行绿色债券是否会进一步降低资本成本?ESG-MM定理给出了否定答案,在下列两个广义条件下,所有资本结构(包括证券标签的所有选择)对应的企业价值保持不变:①现金流与ESG的线性定价;②现金流与ESG的可加性。
ESG-MM理论结果是一个基准,而非确定结果。文章通过实证检验ESG-MM理论,发现了反对该理论的证据。尽管如此,正如原始MM定理一样,ESG-MM基准可以帮助投资者和监管机构评估某种投资方法或监管是否具有一致性——即是否能在公司层面形成有效聚合。
对于ESG-MM的两个基础条件,条件①表明,价格与现金流和ESG呈线性关系,这是对标准MM理论中相同概念的拓展。该条件意味着:若企业利润翻倍,则其价值也相应翻倍(其他条件不变时);同样地,若其污染排放翻倍,由此导致的价值折旧也会翻倍。
条件②要求现金流具备可加性——正如标准MM理论所述——同时ESG也需具备可加性,这意味着所有负债项对应的外部性之和应等于企业全部经营活动所产生的总外部性。例如,部分养老基金采用多种工具估算其投资组合的总体“碳足迹”;为量化这一足迹,投资者必须将特定数量的碳排放分配至每只证券,每只证券对应一定的二氧化碳(CO2)吨数。最简单的分配方式是假定每只证券具有与企业整体相同的“碳强度”,以单位市值(或销售额)的二氧化碳排放量来衡量。无论如何,投资者必须将企业的碳排放量分配至不同证券,而当所有资本结构下被分配的CO2排放总量保持不变(即分配值之和等于企业实际总排放量)时,这些分配排放则具有了可加性。例如,《碳核算金融联盟》(2022年,第40页)指出,其推荐的碳排放证券分配方法之一具有“确保股权和债权方排放量100%分配到位,避免重复计算”的优势,这正好满足了ESG可加性的要求。
当市场对附加ESG具有线性定价时,ESG-MM结果意味着加权平均资本成本(WACC)对于所有资本结构都是相同的。ESG-MM结果如下所示:

回想传统的MM定理指出:尽管债务的资本成本较低,增加债务也不会降低WACC,因为这会使权益资本风险更高。类似地,ESG-MM理论表明:尽管绿色债券的资本成本较低,但发行绿色债券并不会降低WACC,因为这会使权益资本“褐色化”(即更具污染型)。换言之,由于发行绿色债券本身并不会减少企业的总体碳排放量,因此不应影响整体资本成本。
当投资者具备绿色偏好时,绿色投资的资本成本更低,从而激励此类投资。然而根据ESG-MM理论,企业推行绿色项目的动机并不取决于融资方法——例如,项目是否通过绿色债券融资。这看似令人惊讶,因为绿色债券可能具有特别低的资本成本。但值得注意的是,其他负债的资本成本也会相应调整,使得在ESG-MM框架下净现值与融资决策无关。换言之,若不同融资来源的WACC相同,则存在以下关系:

ESG-MM在现实中是否成立?在用实证证据探讨这个问题之前,需要指出:ESG投资与可持续金融监管正开始影响金融体系的很大一部分。文章发现,在某些国家的全部新发型政府债券,以及某些行业的全部公司债券中,ESG标签债券已占据相当大比重。
现实中的投资者与监管机构是否会以可加性方式评估ESG(例如碳排放)?目前大多数ESG评级是在公司层面进行的,将相同的公司级评分应用于其所有证券的做法符合可加性原则。如前所述,《碳核算金融联盟》(2022年,第50页)提出了一种具有可加性的碳排放分配方法,但随后又说明该方法论“不涵盖”绿色债券。若投资者将绿色债券视为特殊存在(例如完全绿色),则根据碳排放如何分配给其余证券的方式,可能违背ESG可加性原则。再以Funk(2020)的研究为例,其提出了多种碳分配方法,其中若干方法均不满足可加性。此外,部分养老基金会同时考量其碳足迹和投资于绿色证券的资产比例。将绿色证券视为总资产中的比例分量,意味着ESG是以二元方式(绿色与非绿色)进行评估的,这会导致ESG可加性原则失效:同一家企业既可以选择全部负债均为非绿色的资本结构,也可以选择部分负债为绿色而其他负债非绿色的结构。同样地,可持续金融监管也可能鼓励投资者和债权人支持绿色债券。总而言之,在现实世界中,投资者、数据提供商和监管机构采用多种ESG分配方法(有些具有可加性,有些则不然),因此ESG-MM理论是否成立最终是一个需要实证检验的问题。
现有证据表明,当企业发行绿色债券时,其股价往往呈现上涨趋势(Flammer, 2021)。这一发现可能意味着ESG-MM理论在现实中存在例外,但需要注意到:企业发行绿色债券往往与启动新的绿色项目同步进行,而这些新项目本身会改变企业价值及其资本结构,这使得对ESG-MM理论的检验变得复杂。
然而,德国和丹麦发行的绿色政府债券为检验ESG-MM理论提供了天然试验场。当这些国家发行绿色债券时,其募集资金实际用于支付政府上一年度预算中已规划的项目。这意味着相关项目早已通过立法程序,因此绿色债券的发行并不伴随新的绿色项目启动。若绿色债券为预算中的绿色项目提供资金,那么剩余(非绿色)债券必然对应非绿色项目的融资。因此,这些非绿色债券的“绿色纯度”将低于其为整体预算融资时的状态(即在不发行绿色债券的情况下)。如果投资者意识到这种“绿色守恒”特性,那么该国的资本成本在以下两种情况下应保持不变:一是只发行单一类型债券(中等绿色纯度,中等成本),二是同时发行两种债券——绿色债券(低成本)和非绿色债券(褐色化程度更高,成本更高)。
然而,数据却表明并非如此。当政府发行绿色债券时,这些绿色债券的收益率会低于完全匹配的普通债券。这种收益率差异本身并不违背ESG-MM理论,因为普通债券的收益率可能会相应上升以形成补偿。就丹麦债券而言,文章发现其整体资本成本出现下降——这为反驳ESG-MM有效性提供了指向性证据;但在整体的主权债券样本中,收益率变化在统计上并不显著。
文章在企业将债券重新分类为绿色债券的相关事件中。发现了更显著反驳ESG-MM有效应的证据。在此类事件中,观察到企业的债券与股权价值平均皆出现上涨。
若这些实证结果意味着部分投资者将绿色债券视为完全绿色资产,且未使剩余证券“褐色化”,则可能产生更广泛的影响。以某公司资产构成(一半煤电、一半风电)为例,考虑两种资本结构方案:(a)全股权结构,被评估为半褐色半绿色;(b)绿色债券融资风电项目(评估为全绿色),股权则按企业整体ESG评分(被评估为半绿色半褐色)。方案(b)实际上形成了更绿色的资本结构,且资本成本更低。在这种结构下,半数负债(绿色债券)为全绿色,另一半融资(股权)为半褐色,使得总负债仅四分之一呈褐色。本质上,在这个假设案例中,资本结构(b)使企业在账面上消除了一半碳排放,却并未实际减少真实排放!
文章的研究与多领域文献存在关联。首先,文章构建的ESG驱动投资者资本市场模型借鉴了Pástor et al.(2021),Pedersen et al.(2021)和Zerbib(2022)的研究。其次,ESG与股票收益的实证关系参考了Hong and Kacluzyk(2009)、Bolton and Kacluzyk(2021)、Pedersen et al.(2021)和Eskildsen et al.(2024)的研究,而ESG评级与债券收益的关系则基于Polbennikov et al.(2016)的成果。Gormsen et al.(2023)发现绿色企业相较于褐色企业具有更低的感知资本成本与折现率。
尽管企业绿色债券收益率被普遍认为低于普通债权(Zerbib(2019),Baker et al.(2022),Caramichael and Rapp(2024)),但Flammer(2021)因绿色与非绿色债券匹配难度对此结论提出质疑。文章的主权债券数据通过完美匹配的标准债券对比,清晰证明了绿色债券的收益率优势——这一发现与Pástor et al.(2022)和D 'Amico et al.(2022)对德国政府债券的研究结论相互印证。
本研究亦与企业社会责任(CSR)更广泛的文献体系相关联。特别值得注意的是,Zivin and Small(2005)提出了守恒定理,证明当企业慈善捐赠与投资者自身慈善行为完全替代时,不会影响企业价值;而Baron(2007)则对该理论提出了限制条件与扩展方向。
文章在现有研究基础上推进创新:通过考察ESG驱动投资者存在下,资本结构选择对企业整体价值的影响,对上述文献体系形成重要补充。既有文献多孤立分析各类证券,而文章的研究不仅从理论层面揭示了ESG选择如何影响政府或企业整体资本成本,更通过实证证据证明证券的绿色标签确实能够降低资本成本。
二、假说提出与理论分析:ESG视角下的资本结构无关性定理
与传统MM定理相同,文章的ESG-MM结果依赖于线性定价的概念(有时称为完美资本市场)。结论建立在线性定价(亦称完美资本市场)基础之上。为构建理论框架,文章首先明确线性定价在ESG语境下的内涵及形成机制,继而提出ESG-MM定理,最后分析其失效条件。
(一)ESG驱动投资者构成的资本市场
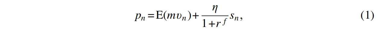
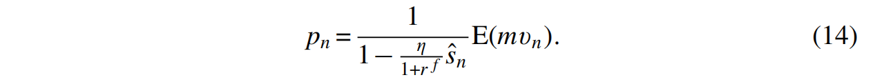
假设经济体中存在N种风险证券(n=1,...,N)及无风险利率rf。每支证券n具有未来现金流vn和外部性sn:当sn>0时产生正向社会影响,sn<0时则产生碳排放等负外部性(以碳吨位等单位计量)。在线性定价的资本市场中,证券价格pn可表述为:

其中m为定价核,η≥0表示外部性的价值权重。
虽然此类线性定价模型存在于诸多理论中,文章在此通过一个简化示例进行具体说明:假设经济体中有I位投资者(i=1,...,I),每位投资者i选择其投资组合xi ∈ RN(代表各风险证券的持有数量)。该组合选择将产生未来财富Wi = Ŵi(1+rf) + xi'(v - p(1+rf)) 及ESG暴露度xi's。其中Ŵi为初始财富,v为证券收益向量,p为价格向量,s为ESG特征向量。投资者通过最大化期望效用函数实现最优配置:

在风险厌恶系数γi和ESG偏好参数ηi的条件下,投资者通过一阶条件推导最优投资组合:0 = E(v) - (1+rf)p - γiV xi + ηi s,其中V = Var(v) 表示收益向量的方差协方差矩阵:

在均衡状态下,股票的总需求必须等于供给,由xm给出:

因此,均衡价格的向量为:

其中总风险厌恶系数γ定义为γ⁻¹ = Σi (γi⁻¹),总ESG偏好η定义为γ/η = Σi (ηi/γi)。由此可得公式(1)成立的条件是:m = 。
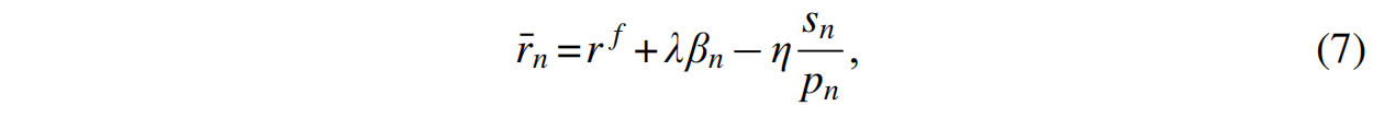
最后,每支证券的收益率rn = vn/pn - 1,其预期收益率r̄n = E(rn),可由下式给出:

其中pm = p′xm和rm = (v′xm /pm) −1是市场收益。将此表达式应用于市场并结合(6),得到一个自然的ESG调整资本资产定价模型(CAPM):

其中βn = 和λ=r̄m−rf +η(sm/pm)是风险溢价,sm =s′xm。
(二)ESG-MM定理
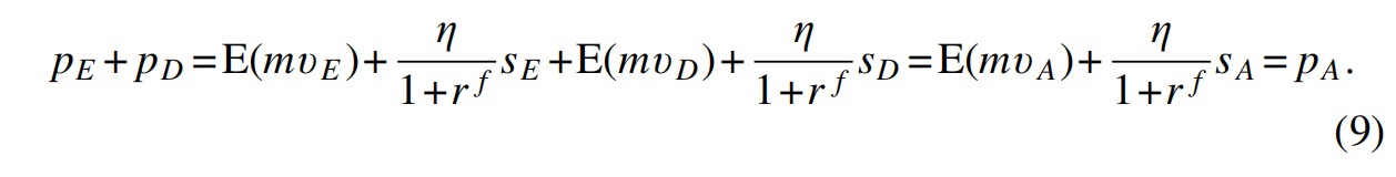
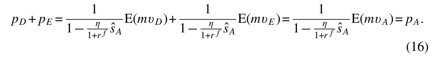
接下来,考察一家资产为A的公司(或政府),其未来现金流为vA,总体外部性为sA。该企业需选择资本结构:即构成对企业总现金流和外部性求偿权的一组证券组合。为简化分析,假设企业仅发行两种证券——债务(D)与股权(E),但结论可自然推广至任意证券组合。这些证券被分配现金流vD和vE(满足vD + vE = vA),同时被分配外部性sD和sE(满足sD + sE = sA,即“可加性ESG”特性):

例如,某企业碳排放量为100吨,则分配至所有证券的碳排放总量应保持100吨不变。若债务占总负债的60%,根据《碳核算金融联盟》(2022年,图4-2)的分配原则,债务承担60吨碳排放,股权承担40吨——这种分配方式具有可加性。此类可加性ESG评分与线性定价相结合,可确保资本结构无关性,如下述命题所示:
命题1:ESG-MM第一定理
在线性定价(公式1)与可加性ESG评分(公式8)条件下,企业总价值等于现金流与外部性价值之和,且不受资本结构影响。
证明:对于任何资本结构,公司的总价值为

换言之,对于任何资本结构,企业价值均等于无杠杆企业的价值。
标准MM定理在经典教材中亦从资本成本角度阐述,因此文章接下来提出ESG视角下的对应定理。对于任意价格为pn、现金流为vn的证券,其资本成本(即预期收益率)为r̄n = E(vn)/pn - 1,而企业的WACC定义为:

命题2:ESG-MM第二定理
在线性定价(公式1)与可加性ESG评分(公式8)条件下,WACC与资本结构无关,且不受各证券ESG标签影响。在现金流vA与外部性sA既定情况下:
提高债务ESG评分(sD)将降低债务资本成本(r̄D),同时推高股权资本成本(r̄E)
提高股权ESG评分(sE)将降低股权资本成本(r̄E),同时推高债务资本成本(r̄D)
证明:由pE + pD = pA且未来现金流在债务与股权间分配,可得:
![]()
这表明WACC总是与rA相同:

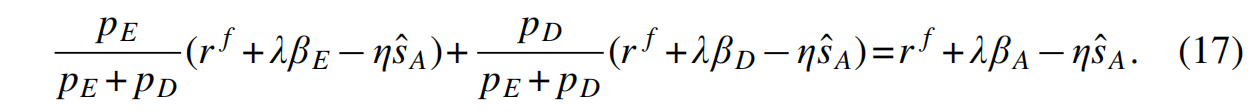
此外,r̄D随sD增加而递减:由公式(1)可得r̄D = E(vD)/pD - 1 = E(vD)/[E(m vD) + η/(1+rf) sD] - 1。显然,同理可得r̄E随sE增加而递减。鉴于sD + sE = sA,提高某一证券的ESG评级必然以降低另一证券的ESG评级为代价。同时如传统MM定理所示,存在r̄E = r̄A + (pD/pE)(r̄A - r̄D)的关系。
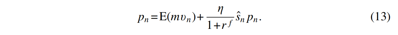
为使碳排放量在不同规模企业间可比,投资者与监管机构常采用碳排放与企业价值的比值(即"碳强度")或与销售额等财务指标的比值。因此当sA代表碳排放(负外部性)时,对应碳强度为ŝA = sA/pA。
更广泛而言,假设投资者对任意证券n赋予相对ESG评分(如碳强度)ŝn,使得sn = ŝ_n pn成立,则定价方程(1)可转化为:

虽然价格在等式的两边,但可以把这个关系改写为:

此外,资本成本(7)现在可以写为:

这表明碳强度(或相对ESG评分)如何影响必要收益率。
市场普遍实践(当证券未贴标签时)是将所有证券赋予相同的相对ESG评分,即发行人整体资产的相对ESG值。文章接下来的结果表明,ESG-MM守恒定理在此情形下依然成立。
命题3:含相对ESG或碳强度的ESG-MM定理
在线性定价(公式14)条件下,若企业所有证券均被赋予与无杠杆资产相同的相对ESG评分(如碳强度),则企业总价值与WACC均不受资本结构影响。
证明:

当企业价值不受影响时,WACC也不受影响。也可以直接通过(15)看到这一点,这表明WACC是:

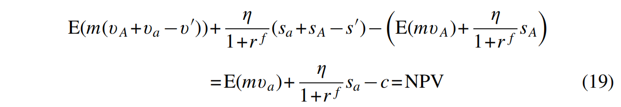
至此文章一直假设企业资产固定,但考察企业投资激励(例如对绿色项目的投资)同样具有重要意义。假设企业现有资产为(vA, sA),现考虑以成本c投资一个新项目,该项目将产生现金流va和外部性sa。
投资成本c通过发行新证券进行融资。新证券具有现金流v'和外部性s',其发行收入必须恰好覆盖投资成本,即满足c = E(m v') + η/(1+rf) s'。此时,原有证券持有人将获得vA + va - v'的现金流和sA + sa - s'的外部性。
若将投资的净现值定义为NPV = E(mva) + η/(1+rf) sa - c,则可得到以下无关性结论:
命题4:投资无关性
在线性定价(公式1)与可加性ESG评分(公式8)条件下,考虑通过发行新证券融资的投资项目。无论采用何种融资方式:投资后的企业总价值保持不变,现有负债价值增加量等于该投资的净现值(NPV)。
证明:投资后企业价值为:

现有负债的投资后价值减去投资前价值为:

对于v′,s′的任意选择,满足融资条件c=E(mv′)+ s′。
由此可见,在ESG-MM定理成立条件下,绿色投资并不会因采用绿色债券融资而更具吸引力——只要净现值为正,绿色投资本身就具有投资价值。虽然NPV计算已包含投资者对绿色的偏好,但投资是通过绿色新债券融资,还是通过使所有负债更绿的方式融资,并不影响决策结果。例如:若企业发行高绿色评分债券(s′值较高),则只需发行较少数量(v′较低),但剩余负债将更趋褐色化(sA+sa-s′降低);若发行标准债券(s′处于企业整体水平),则需发行更多数量,但现有负债会变得更绿。
(三)ESG-MM理论的偏离
前文表明ESG-MM定理源于可加性ESG度量(公式8)与线性定价(公式1)。接下来文章将讨论这两个条件任一不成立时,如何导致ESG-MM失效,即揭示企业可能通过资本结构选择和ESG标签化提升企业价值的现实路径。
1. 非可加性ESG评分的利用
假设线性定价(公式1或14)成立,但ESG评分不满足可加性(公式8)。此时企业可通过选择被视为特别绿色的资本结构获利,如下述命题所示:
命题5:非可加性ESG
考虑某企业现有负债被赋予与企业整体相同的相对ESG评分(如碳强度)。该企业通过发行具有更高ESG评分的绿色债券为新投资融资,则投资后企业价值(及现有负债价值)随绿色债券ESG评分增加而提升。因此,若投资能通过更绿债券(或更高比例绿色债券)融资,其门槛收益率将降低。
证明:沿用命题3和4的符号体系,在给定投资成本c的条件下,绿色债券必须被分配现金流v′以满足:c = [1 - η/(1+rf) ŝ′]⁻¹ E(m v′)其中ŝ′为赋予绿色债券的相对ESG评分(基于公式14)。投资后企业价值等于现有负债新价值与绿色债券价值之和:

其中ŝpost代表投资后企业层面的相对ESG评分。显然,(20)式左侧的投资后企业价值随ŝ′增加而提升,因此当ŝ′ ≥ ŝpost时不等式成立。现有负债的投资后价值等于新企业价值减去绿色债券价值c,故若企业价值增幅更大,现有负债价值也随之增加。最后,当绿色债券与投资后企业其他部分具有相同相对ESG评分时(即(20)式右侧),现有负债价值随投资NPV增加而提升(命题4),且ESG评分越高增幅越大。因此,追求企业市场价值(或股权价值)最大化的公司,对于可通过更绿债券融资的投资项目可采用更低门槛收益率——因为这些债券要求更低票息,且在设定假设下不会使剩余负债褐色化(这与ESG-MM下的预期相反)。
为理解该结论,考虑以下示例:某企业资产部分绿色、部分褐色,现考虑对与现有资产同类型的新项目进行投资。企业相对ESG评分在投资前后保持不变(ŝ)。若采用未贴标证券融资(按项目相对ESG评分估值),则资本成本为rf + λβn - ηŝ(基于公式15)。
若企业采用w比例绿色证券与(1-w)比例未贴标证券组合融资,则资本成本将降低。具体而言,绿色证券相对ESG评分ŝ′ > ŝ,其资本成本降至rf + λβn - ηŝ′。其余证券仍保持与企业相同的相对ESG评分,此时项目整体资本成本为:

可以看到,当绿色债券的比例w越高时,资本成本越低。
2. 利用非线性定价:分割市场
ESG-MM定理失效的另一潜在根源是市场分割导致公式(1)不成立。例如,不同投资者群体可能以差异化定价方案购买不同类型的证券,形成市场分割。在此情形下,企业可通过为每个(过度)估值的投资者群体量身定制证券来提升企业价值。
具体而言,当绿色投资者为绿色证券支付足够高的溢价时,卖空限制可能“边缘化”非ESG投资者,从而引发市场分割。为说明该机制,文章引入卖空约束。在卖空约束下,投资者的一阶条件变为:

其中θi ∈RN+是主体i的约束xi ≥0的拉格朗日乘子的向量。因此,均衡价格的向量为:

其中θ∈RN+代表各证券卖空约束的总体影子成本,定义为γ/θ = Σi (θi/γi)。这些因证券而异的影子成本θ在均衡状态下取决于ESG评分s。因此,在存在卖空约束(公式23)的均衡中,价格不再是收益与外部性的线性函数,部分企业可能利用由θ产生的非线性获利。
例如,某企业考虑两种资本结构方案:①发行具有平均ESG评分且无约束力限制的证券(即所有负债的θn=0);②发行具有θgreen>0的绿色债券和无约束限制的股权。即使存在可加性ESG评分(公式8),第二种资本结构也能通过绿色债券的额外溢价使企业价值提升θgreen/(1+rf)。
2. 替代性假说:信号传递、承诺机制与偏好
在实证检验中,文章寻找反驳ESG-MM的证据。与此相关的是,需考虑可能同样导致绿色债券发行及相关证券重新定价的替代性假说(即与线性定价和可加性ESG失效无关的效应)。
一种替代假说认为:绿色债券发行传递了有价值绿色项目的信号。为理解该信号故事,考虑当ESG-MM成立或失效时,为绿色投资发行绿色债券的情形:若ESG-MM失效(命题5),即使投资净现值为零,绿色债券仍能以低收益率发行,且现有负债(如股权)价值提升——这与Flammer(2021)的证据一致;但若投资具有正净现值,即使ESG-MM成立(命题4),现有负债价值也会增加。因此信号故事的核心在于:债券发行传递了正净现值信号,这使ESG-MM的检验变得困难。在实证层面,文章通过研究涉及历史预算的主权债券发行及现有债券重分类来应对这一挑战。
信号传递假说的更广泛版本认为:绿色债券发行预示着未来将采取更多绿色行为,这可能是更多正净现值项目即将到来的信号,或是未来绿色行为降低资本成本的征兆。然而,由于绿色债券发行与当前投资直接相关,发行人为何不能以更有效方式做出此类承诺仍存疑。
另一种替代假说是承诺机制:企业希望为绿色项目获取有利的ESG评级,但市场担心资金一旦到位就会被用于不够绿色的用途。此时,绿色债券可通过契约形式承诺资金专用性(Chowdhry et al.(2019)、Oehmke and Opp(2024))。承诺机制是重要议题,也能解释可持续发展挂钩债券的运用。为区分该效应与ESG-MM失效,必须寻找承诺问题较少的特定案例——文章研究主权绿色债券时,正是利用其融资对象为已立法通过的历史预算这一特性。
第三种替代假说涉及投资者ESG偏好的本质。线性定价(公式1)基于投资者持有绿色资产存在独立非财务动机的假设,这与Riedl and Smeets(2017)的证据一致。此外,可加性ESG意味着投资者将企业行为归因于各证券,但投资者可能更关注投资的“影响力”(Moisson 2022)。Oehmke and Opp(2024)研究具有“影响力使命”的大型社会基金时指出:该基金“相对于反事实场景(即社会基金未投资某企业的情况)纳入社会成本”。此时企业资本结构可能影响投资者实现影响力的能力,尤其通过上述承诺机制。
然而,Bonnefon et al.(2022)的实验研究发现:“企业外部性的非货币收益仅通过股权所有权实现,而非通过投资决策的实际影响力”以及“非货币偏好具有线性与可加性”——这与文章的模型一致。
最后一种行为假说认为:当发行绿色债券时,发行人的绿色活动对投资者变得更具显著性。换言之,若投资者注意力有限,而绿色债券发行使其更关注发行人的绿色项目,则当部分投资者认知中的社会价值s提升时,资本成本可能因估值上升或投资者基础扩大而降低。
三、研究设计
文章在这部分通过主权债券发行事件和公司债券重分类事件数据检验ESG-MM理论。在呈现检验结果前,先介绍数据来源并展示ESG相关债券在全球范围内的普及趋势。
(一)数据来源
1. 主权债券
为检验主权债券市场的ESG-MM理论,文章采用绿色主权债券数据,并与同一国家发行、具有相同票息和期限的普通债券进行配对。Flammer(2021)指出,绿色与普通债券匹配不完善导致文献中对绿色溢价存在性与规模的结论存在冲突,因此聚焦完全匹配的“双胞胎债券”可解决该问题。
除研究绿色与标准债券的利差外,文章同样关注其加权平均收益率(类比WACC概念)。由于收益率变化可能源于绿色债券发行事件之外的因素,文章引入“控制债券”——来自其他国家的类似债券作为参照基准。所有债券的日终中间收益率数据采集自彭博BGN平台,时间跨度为2019年1月1日至2024年2月5日。
表1展示了研究涵盖的债券:德国发行7对绿色-标准债券,丹麦发行2对。控制债券选用邻近欧盟国家荷兰的匹配政府债券(其AAA评级与丹德两国相同)。虽然双胞胎债券在期限和票息上完全匹配,控制债券存在细微差异。
所有债券在首次发行后均会重开增发(即向同一债券系列追加发行),样本包含9次新发行事件和20次增发事件,共29个事件日期。绿色债券占总发行规模比例介于7%-24%。德国提前6个工作日公告拍卖信息,丹麦至少提前3个工作日。两国结算日均设定在拍卖后2个工作日。除实际拍卖日外,文章还考察了从拍卖前6日至拍卖后3日的更宽事件窗口。

2. 公司债券
在公司债券市场,文章选用将全部现存褐色债券重分类为绿色的企业子集检验ESG-MM。通过人工检索筛选出全面转换债券属性的公司,表2列示案例。被重分类债券最早可追溯至2016年,至少于公告前5个月发行。如表所示,债务股权比介于16%-72%,表明债务是资本结构的重要组成部分,债务重分类可能实质影响股权的绿色属性。研究从彭博获取公告日前后债券与股票的每日调整收盘价。

3. 发行量与未偿金额
文章使用路孚特Eikon的数据来计算相对于所有债券,ESG债券的发行份额和未偿金额的比例。路孚特为每只债券提供了其以美元换算的发行金额、行业分类以及绿色债券或ESG债券标识符。
四、实证分析
(一)绿色及其他ESG相关债券的普及程度
在分析绿色债券发行是否与ESG-MM失效相关之前,先来了解这类债券的普及程度是个有意义的研究话题。针对这一问题,图1分别展示了公司和政府发行的ESG相关债券份额。对于公司债券,图1显示ESG相关债券的发行正在迅速增长,并且在全球所有发行中已经占据了不可忽视的份额(图A),在某些行业中更是占据了全部发行的较大比重(图B)。图C显示,对于几个发达国家而言,绿色债券占据了政府债券发行的很大一部分。
此外,ESG贷款也在快速增长,根据路孚特Eikon的数据,2022年约占全球贷款发行的11.7%,这说明金融体系的正受到可持续金融监管的较大影响。

由于ESG相关债券是一个相对较新的现象,在大多数情况下,它们在所有未偿债券中所占的比例仍然不大。图2显示了ESG相关债券未偿金额占总债券未偿金额的比例。在全球范围内,尽管增长迅速,但2022年ESG公司债券约占所有未偿公司债券的3.5%(图A)。然而,在某些行业,它们已经占据了相当大的比例(图B)。尽管绿色债券未偿金额在政府债券中的占比仍然不高(图C),但网络附录中的图A.2显示,在一些非洲国家,ESG债券未偿金额占比相当可观。换句话说,由于投资者直到最近才开始为ESG定价,任何ESG-MM的失效也只可能最近才开始出现。即使ESG已经影响到公司和政府的资本成本,ESG首先影响的是新发行,因为发行者调整其总资本结构的速度较为缓慢。

(二)使用绿色政府债券检验ESG-MM理论
在分析绿色债券是否影响整体资本成本之前,首先考察绿色债券的收益率是否低于可比的标准债券。图3展示了研究中每对“双胞胎”债券的“绿色债券溢价”度量。具体而言,该图显示了标准债券与绿色债券的收益率利差(即 ytS - ytG)的时间序列,其中ytS是标准债券的到期收益率,ytG是相应绿色债券的到期收益率(需要注意,反向利差ytS - ytG有时被称为债券的“绿色溢价”)。

从图3可以看出,在文章研究的几乎所有时间段内,所有债券的绿色债券溢价均为正(在4444个观测值中仅有6个为负)。如表3所示,这一持续为正的绿色债券溢价在统计上显著异于零。鉴于这些标准债券和绿色债券的组合是完美匹配的,这些结果提供了强有力的证据,表明绿色债券的资本成本低于相应的标准债券。

绿色债券面临更低的资本成本,那么发行绿色债券是否会降低政府的整体资本成本呢?这一结论显然不是必然成立的。因为政府其他债券的收益率可能会进行调整,使得整体资本成本保持不变。
文章在表4中检验了这一ESG-MM守恒属性。对于每次双胞胎债券i的发行事件(其绿色债券收益率为 yti,G),研究在每次发行事件前后的一段时间窗口内考察以下三个指标:①相应标准债券的收益率 yti,S相对于荷兰对照债券收益率 yti,C的利差,即yti,S - yti,C;②该双胞胎债券组合的加权平均资本成本(相对于对照债券),即 (1 - wti) * yti,S +wti *yti,G - yti,C,其中wti是绿色债券在该双胞胎债券未偿还总额中的占比;③该国政府发行的所有债券(绿色和标准)的加权平均收益率相对于对照债券的利差。这些结果分别按以下方式取平均值:①所有事件,②丹麦的所有事件,以及③德国的所有事件。
如表4所示,当综合观察两国所有事件时,收益率的变化并不显著。标准债券的收益率平均而言是下降的——而非像理论预测的那样(如果这些标准债券的“绿色程度”降低)上升,但其幅度在经济意义上很小,且整体统计上不显著。然而,在丹麦债券的样本中,效应是显著的。对于丹麦债券,可以看到在发行事件前后,标准债券的收益率下降,双胞胎债券组合的平均收益率也下降,这部分是因为绿色债券在该组合中的占比变大。丹麦所有债券的平均收益率点估计值更小,因为大部分债券并不属于这对双胞胎组合。这些结果提供了提示性证据,表明ESG-MM理论可能被违背,至少对于丹麦债券是如此,但该效应的幅度相对于数据中的噪声水平而言较小。

与任何事件研究一样,对结果的解读取决于市场在何时知晓何种信息。如前所述,事件窗口包括了发行公告日(第 -6天至第 -1天)、拍卖日(第0天)和结算日(第2天)。因此,如果市场此前并不确定此类绿色债券发行是否会发生,那么资本成本的下降就违背了ESG-MM理论。然而,市场或许能够预见到这些债券的发行,特别是因为政府早已通过前一年的预算法案并计算出预算中符合绿色标准的金额。如果市场早已知道绿色债券将会发行,那么标准债券的价格可能已经反映了其“棕色化”属性,这意味着它们的收益率不应发生变化——所以,即使按照这种解读,丹麦标准债券收益率的下降也与ESG-MM理论不一致。
(三)企业债券被重新标识为绿色债券
作为对ESG-MM理论的另一项检验,文章接下来考察企业将标准公司债券重新标识为绿色债券的事件。表2描述了此类事件的样本,样本量较小是因为这类事件是近期才出现的。
针对每个事件,采用市场模型计算债券和股票的异常收益率,事件窗口设定为重新标识公告发布前3天至公告后3天。对于股票异常收益率的计算,使用事件窗口前30个有效交易日的价格数据,通过回归方程计算回归系数:

其中,rti为公司i股票的日收益率(含股息),rtm为当地股票指数的日收益率。事件窗口中第t天的股票异常收益率计算公式为:arti = rti - (β0 + β1 * rtm)。
对于公司债券,由于每家公司存在多只流通债券,首先计算公司整体债券收益率:∑j=1N wj * rtb,j,其中N为公告日流通债券数量,rtb,j为债券j的收益率,权重wj = (按各债券系列发行规模加权)。基于公司层面的债券收益率,文章采用与股票相同的方法计算债券异常收益率,即将公司级债券收益率对当地国债指数收益率进行回归。
表5展示了事件窗口期内股票与债券的异常收益率。数据显示,公告次日出现0.98%的显著正向股价反应。这一滞后效应很可能源于公告发布时股市已收盘(数据未包含具体公告时间)。
债券方面,表5同样显示正向价格反应。债券反应的最大点估计值出现在第1天,第3天也有较大幅度反应(在10%水平上统计显著)。第3天的延迟反应可能与公司债券流动性低于股票导致价格更新滞后有关。

这些发现似乎与ESG-MM理论不一致,因为它们表明企业总价值(债券加股权)在公告期间有所提升。换言之,如果债券因重新标识更“绿色”而升值,根据ESG-MM理论,股权则应更“棕色化”而出现负向反应,但实际观测到的却是正向股价反应。
尽管债券重新标识本身只是对现有证券的重新分类,这一现象仍违背了ESG-MM理论。文章需要考虑另一种假设:该事件可能如命题4所述,预示着正净现值的投资项目。债券重新标识是企业ESG战略的组成部分,但通常ESG战略公告会早于债券重分类公告。例如Merlin Properties公司在宣布2050年净零排放计划一周后,才发布债券转换公告。
五、研究结论
文章从理论上证明,当市场采用线性定价模型并将ESG特性(如二氧化碳排放量)按证券可加性分配时,整体资本成本应仅取决于整体现金流和总排放量,而与资本结构或证券标签无关。因此,发行方投资绿色项目的动机不应取决于项目的融资方式。换言之,企业的资本成本应取决于其总污染量,而不应取决于是否将无污染资产用绿色债券进行融资。
在实证层面,要确立资产价格与证券特性之间的清晰因果关系颇具挑战,但文章的研究证据表明:ESG-MM理论可能被违背,即发行方或可通过发行绿色债券来降低其资本成本。未来的研究可进一步探讨证券标签究竟是对减排等实质性工作的有益补充,还是会造成扭曲。
Abstract This paper examines whether capital structure is irrelevant for enterprise value and investment when investors care about environmental, social, and governance issues, which we refer to as “ESG-Modigliani-Miller” (ESG-MM). Theoretically, we show that ESGMM holds with linear pricing and additive ESG. ESG-MM means that issuing low-yielding green bonds does not lower the overall cost of capital because it makes the issuer’s other securities browner. Hence, a firm’s incentive to make a green investment does not depend on its financing choice. We provide suggestive evidence of failure of ESG-MM, implying that firms and governments can exploit inconsistent ESG attribution or segmented markets. (JEL E22, G12, G32, G4, H23, Q56)